Get the free BHM Full Form, Eligibility, Distance Education, Colleges, ...
Show details
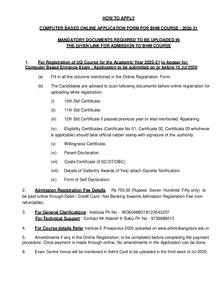
HOW TO APPLY COMPUTER BASED ONLINE APPLICATION FORM FOR BHM COURSE : 202021 MANDATORY DOCUMENTS REQUIRED TO BE UPLOADED IN THE GIVEN LINK FOR ADMISSION TO BHM COURSE1. For Registration of UG Course
We are not affiliated with any brand or entity on this form
Get, Create, Make and Sign bhm full form eligibility
Edit your bhm full form eligibility form online
Type text, complete fillable fields, insert images, highlight or blackout data for discretion, add comments, and more.
Add your legally-binding signature
Draw or type your signature, upload a signature image, or capture it with your digital camera.
Share your form instantly
Email, fax, or share your bhm full form eligibility form via URL. You can also download, print, or export forms to your preferred cloud storage service.
Editing bhm full form eligibility online
Follow the guidelines below to benefit from a competent PDF editor:
1
Log in. Click Start Free Trial and create a profile if necessary.
2
Prepare a file. Use the Add New button to start a new project. Then, using your device, upload your file to the system by importing it from internal mail, the cloud, or adding its URL.
3
Edit bhm full form eligibility. Rearrange and rotate pages, add new and changed texts, add new objects, and use other useful tools. When you're done, click Done. You can use the Documents tab to merge, split, lock, or unlock your files.
4
Save your file. Select it from your list of records. Then, move your cursor to the right toolbar and choose one of the exporting options. You can save it in multiple formats, download it as a PDF, send it by email, or store it in the cloud, among other things.
pdfFiller makes dealing with documents a breeze. Create an account to find out!
Uncompromising security for your PDF editing and eSignature needs
Your private information is safe with pdfFiller. We employ end-to-end encryption, secure cloud storage, and advanced access control to protect your documents and maintain regulatory compliance.
How to fill out bhm full form eligibility
How to fill out bhm full form eligibility
01
Check the official website of the organization or institution offering the BHM course to find the eligibility criteria.
02
Ensure that you meet the minimum educational qualifications required for the BHM course.
03
Prepare all necessary documents such as mark sheets, certificates, and identification proofs.
04
Fill out the application form accurately with all the required details and documents.
05
Submit the application form within the specified deadline to complete the BHM full form eligibility process.
Who needs bhm full form eligibility?
01
Individuals who are interested in pursuing a Bachelor's in Hotel Management (BHM) course.
02
Students who meet the eligibility criteria and wish to apply for admission to colleges or universities offering the BHM program.
Fill
form
: Try Risk Free
For pdfFiller’s FAQs
Below is a list of the most common customer questions. If you can’t find an answer to your question, please don’t hesitate to reach out to us.
Where do I find bhm full form eligibility?
The premium version of pdfFiller gives you access to a huge library of fillable forms (more than 25 million fillable templates). You can download, fill out, print, and sign them all. State-specific bhm full form eligibility and other forms will be easy to find in the library. Find the template you need and use advanced editing tools to make it your own.
Can I edit bhm full form eligibility on an iOS device?
No, you can't. With the pdfFiller app for iOS, you can edit, share, and sign bhm full form eligibility right away. At the Apple Store, you can buy and install it in a matter of seconds. The app is free, but you will need to set up an account if you want to buy a subscription or start a free trial.
Can I edit bhm full form eligibility on an Android device?
You can make any changes to PDF files, like bhm full form eligibility, with the help of the pdfFiller Android app. Edit, sign, and send documents right from your phone or tablet. You can use the app to make document management easier wherever you are.
What is bhm full form eligibility?
BHM full form stands for Bachelor of Hotel Management and the eligibility criteria may vary depending on the institution.
Who is required to file bhm full form eligibility?
Students who are applying for admission to Bachelor of Hotel Management programs may need to fulfill the eligibility criteria.
How to fill out bhm full form eligibility?
The process of filling out the eligibility form for Bachelor of Hotel Management programs typically involves providing information about academic qualifications, work experience, and personal details.
What is the purpose of bhm full form eligibility?
The purpose of the eligibility form for Bachelor of Hotel Management programs is to ensure that students meet the necessary requirements for admission.
What information must be reported on bhm full form eligibility?
Information such as academic qualifications, work experience, personal details, and any other requirements specified by the institution may need to be reported on the eligibility form.
Fill out your bhm full form eligibility online with pdfFiller!
pdfFiller is an end-to-end solution for managing, creating, and editing documents and forms in the cloud. Save time and hassle by preparing your tax forms online.
Bhm Full Form Eligibility is not the form you're looking for?Search for another form here.
Relevant keywords
Related Forms
If you believe that this page should be taken down, please follow our DMCA take down process
here
.
This form may include fields for payment information. Data entered in these fields is not covered by PCI DSS compliance.