Get the free Financial AidFinancial Aid HomeTypes of Aid
Show details
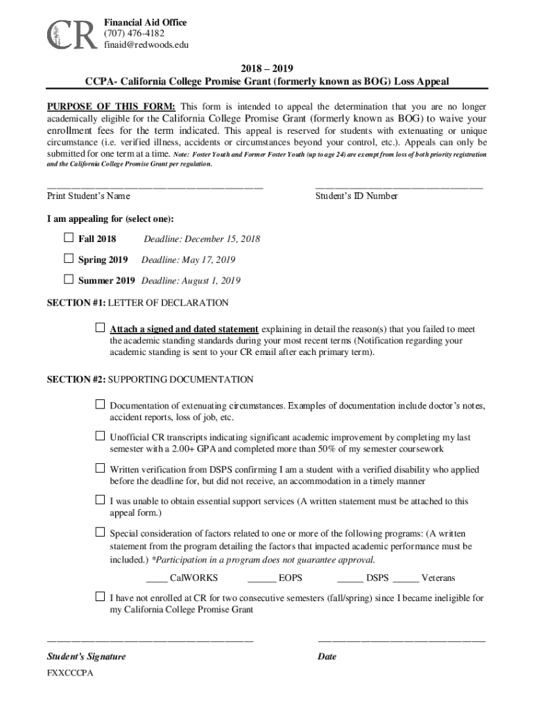
Financial Aid Office (707) 4764182 finaid@redwoods.edu2018 2019 CCPA California College Promise Grant (formerly known as BOG) Loss Appeal PURPOSE OF THIS FORM: This form is intended to appeal the
We are not affiliated with any brand or entity on this form
Get, Create, Make and Sign financial aidfinancial aid hometypes
Edit your financial aidfinancial aid hometypes form online
Type text, complete fillable fields, insert images, highlight or blackout data for discretion, add comments, and more.
Add your legally-binding signature
Draw or type your signature, upload a signature image, or capture it with your digital camera.
Share your form instantly
Email, fax, or share your financial aidfinancial aid hometypes form via URL. You can also download, print, or export forms to your preferred cloud storage service.
How to edit financial aidfinancial aid hometypes online
Follow the guidelines below to benefit from the PDF editor's expertise:
1
Register the account. Begin by clicking Start Free Trial and create a profile if you are a new user.
2
Prepare a file. Use the Add New button to start a new project. Then, using your device, upload your file to the system by importing it from internal mail, the cloud, or adding its URL.
3
Edit financial aidfinancial aid hometypes. Rearrange and rotate pages, add new and changed texts, add new objects, and use other useful tools. When you're done, click Done. You can use the Documents tab to merge, split, lock, or unlock your files.
4
Save your file. Select it from your records list. Then, click the right toolbar and select one of the various exporting options: save in numerous formats, download as PDF, email, or cloud.
With pdfFiller, it's always easy to deal with documents.
Uncompromising security for your PDF editing and eSignature needs
Your private information is safe with pdfFiller. We employ end-to-end encryption, secure cloud storage, and advanced access control to protect your documents and maintain regulatory compliance.
How to fill out financial aidfinancial aid hometypes
How to fill out financial aidfinancial aid hometypes
01
Gather all necessary financial documents such as tax returns, W-2 forms, bank statements, and any other income documentation.
02
Complete the Free Application for Federal Student Aid (FAFSA) form online at fafsa.gov.
03
Submit any additional financial aid applications required by your college or university.
04
Review your financial aid award letter and accept or decline any offers of aid.
05
Keep track of deadlines and submit any required documentation promptly to ensure timely disbursement of funds.
Who needs financial aidfinancial aid hometypes?
01
Students who require financial assistance to cover the cost of higher education.
02
Families who may not have the financial means to pay for college tuition and related expenses on their own.
Fill
form
: Try Risk Free
For pdfFiller’s FAQs
Below is a list of the most common customer questions. If you can’t find an answer to your question, please don’t hesitate to reach out to us.
How can I modify financial aidfinancial aid hometypes without leaving Google Drive?
Using pdfFiller with Google Docs allows you to create, amend, and sign documents straight from your Google Drive. The add-on turns your financial aidfinancial aid hometypes into a dynamic fillable form that you can manage and eSign from anywhere.
How do I make changes in financial aidfinancial aid hometypes?
The editing procedure is simple with pdfFiller. Open your financial aidfinancial aid hometypes in the editor, which is quite user-friendly. You may use it to blackout, redact, write, and erase text, add photos, draw arrows and lines, set sticky notes and text boxes, and much more.
Can I create an electronic signature for signing my financial aidfinancial aid hometypes in Gmail?
You can easily create your eSignature with pdfFiller and then eSign your financial aidfinancial aid hometypes directly from your inbox with the help of pdfFiller’s add-on for Gmail. Please note that you must register for an account in order to save your signatures and signed documents.
What is financial aid types?
Financial aid types include scholarships, grants, loans, and work-study programs.
Who is required to file financial aid types?
Students who are seeking financial assistance for college are required to file financial aid types.
How to fill out financial aid types?
To fill out financial aid types, students need to complete the Free Application for Federal Student Aid (FAFSA) form.
What is the purpose of financial aid types?
The purpose of financial aid types is to help students pay for college tuition, fees, and other educational expenses.
What information must be reported on financial aid types?
Information such as income, household size, and number of family members attending college must be reported on financial aid types.
Fill out your financial aidfinancial aid hometypes online with pdfFiller!
pdfFiller is an end-to-end solution for managing, creating, and editing documents and forms in the cloud. Save time and hassle by preparing your tax forms online.
Financial Aidfinancial Aid Hometypes is not the form you're looking for?Search for another form here.
Relevant keywords
Related Forms
If you believe that this page should be taken down, please follow our DMCA take down process
here
.
This form may include fields for payment information. Data entered in these fields is not covered by PCI DSS compliance.