
Get the free Kansas City Regional Association of Realtors Residential Lease Agreement
Show details
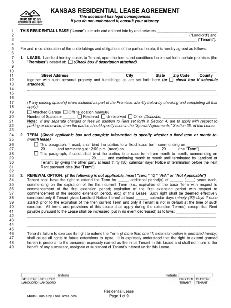
KANSAS RESIDENTIAL LEASE AGREEMENT This document has legal consequences. If you do not understand it, consult your attorney.1 2 3 4 5 6 7 8 9 10 11 12 13 14 15 16 17 18 19 20 21 22 23 24 25 26 27
We are not affiliated with any brand or entity on this form
Get, Create, Make and Sign kansas city regional association

Edit your kansas city regional association form online
Type text, complete fillable fields, insert images, highlight or blackout data for discretion, add comments, and more.

Add your legally-binding signature
Draw or type your signature, upload a signature image, or capture it with your digital camera.

Share your form instantly
Email, fax, or share your kansas city regional association form via URL. You can also download, print, or export forms to your preferred cloud storage service.
Editing kansas city regional association online
Use the instructions below to start using our professional PDF editor:
1
Log in. Click Start Free Trial and create a profile if necessary.
2
Simply add a document. Select Add New from your Dashboard and import a file into the system by uploading it from your device or importing it via the cloud, online, or internal mail. Then click Begin editing.
3
Edit kansas city regional association. Rearrange and rotate pages, add new and changed texts, add new objects, and use other useful tools. When you're done, click Done. You can use the Documents tab to merge, split, lock, or unlock your files.
4
Get your file. When you find your file in the docs list, click on its name and choose how you want to save it. To get the PDF, you can save it, send an email with it, or move it to the cloud.
pdfFiller makes working with documents easier than you could ever imagine. Register for an account and see for yourself!
Uncompromising security for your PDF editing and eSignature needs
Your private information is safe with pdfFiller. We employ end-to-end encryption, secure cloud storage, and advanced access control to protect your documents and maintain regulatory compliance.
How to fill out kansas city regional association

How to fill out kansas city regional association
01
Access the Kansas City Regional Association website.
02
Locate the section for membership or registration.
03
Fill out the required information such as name, contact details, and any relevant qualifications or affiliations.
04
Submit the form either online or by mail, depending on the instructions provided.
05
Pay any applicable fees for membership, if required.
06
Await confirmation of membership from the Kansas City Regional Association.
Who needs kansas city regional association?
01
Individuals or businesses who want to be part of a professional organization in the Kansas City region.
02
Real estate agents or professionals looking to network and access resources in the real estate industry.
03
Anyone interested in staying up to date with industry trends and regulations in the Kansas City area.
Fill
form
: Try Risk Free
For pdfFiller’s FAQs
Below is a list of the most common customer questions. If you can’t find an answer to your question, please don’t hesitate to reach out to us.
How can I send kansas city regional association for eSignature?
When you're ready to share your kansas city regional association, you can send it to other people and get the eSigned document back just as quickly. Share your PDF by email, fax, text message, or USPS mail. You can also notarize your PDF on the web. You don't have to leave your account to do this.
How do I make edits in kansas city regional association without leaving Chrome?
Install the pdfFiller Google Chrome Extension to edit kansas city regional association and other documents straight from Google search results. When reading documents in Chrome, you may edit them. Create fillable PDFs and update existing PDFs using pdfFiller.
How do I complete kansas city regional association on an iOS device?
Install the pdfFiller app on your iOS device to fill out papers. If you have a subscription to the service, create an account or log in to an existing one. After completing the registration process, upload your kansas city regional association. You may now use pdfFiller's advanced features, such as adding fillable fields and eSigning documents, and accessing them from any device, wherever you are.
What is kansas city regional association?
The Kansas City Regional Association is a professional organization that aims to support and promote the real estate industry in the Kansas City region.
Who is required to file kansas city regional association?
Real estate professionals, including agents, brokers, and other industry professionals, are required to file with the Kansas City Regional Association.
How to fill out kansas city regional association?
To fill out the Kansas City Regional Association form, real estate professionals must provide information about their business activities, transactions, and membership status.
What is the purpose of kansas city regional association?
The purpose of the Kansas City Regional Association is to provide resources, support, and networking opportunities for real estate professionals in the Kansas City region.
What information must be reported on kansas city regional association?
Information such as business activities, transactions, membership status, and any relevant updates must be reported on the Kansas City Regional Association form.
Fill out your kansas city regional association online with pdfFiller!
pdfFiller is an end-to-end solution for managing, creating, and editing documents and forms in the cloud. Save time and hassle by preparing your tax forms online.

Kansas City Regional Association is not the form you're looking for?Search for another form here.
Relevant keywords
Related Forms
If you believe that this page should be taken down, please follow our DMCA take down process
here
.
This form may include fields for payment information. Data entered in these fields is not covered by PCI DSS compliance.