
Get the free Excess Title IV Funds Usage Authorization form - financialservices wustl
Show details
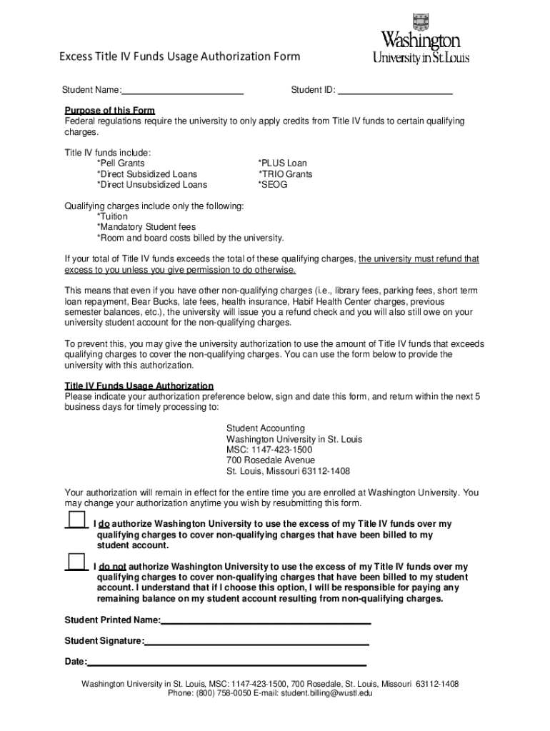
Excess Title IV Funds Usage Authorization Form Student Name:Student ID:Purpose of this Form Federal regulations require the university to only apply credits from Title IV funds to certain qualifying
We are not affiliated with any brand or entity on this form
Get, Create, Make and Sign excess title iv funds

Edit your excess title iv funds form online
Type text, complete fillable fields, insert images, highlight or blackout data for discretion, add comments, and more.

Add your legally-binding signature
Draw or type your signature, upload a signature image, or capture it with your digital camera.

Share your form instantly
Email, fax, or share your excess title iv funds form via URL. You can also download, print, or export forms to your preferred cloud storage service.
Editing excess title iv funds online
Here are the steps you need to follow to get started with our professional PDF editor:
1
Register the account. Begin by clicking Start Free Trial and create a profile if you are a new user.
2
Prepare a file. Use the Add New button. Then upload your file to the system from your device, importing it from internal mail, the cloud, or by adding its URL.
3
Edit excess title iv funds. Replace text, adding objects, rearranging pages, and more. Then select the Documents tab to combine, divide, lock or unlock the file.
4
Get your file. Select your file from the documents list and pick your export method. You may save it as a PDF, email it, or upload it to the cloud.
With pdfFiller, it's always easy to deal with documents.
Uncompromising security for your PDF editing and eSignature needs
Your private information is safe with pdfFiller. We employ end-to-end encryption, secure cloud storage, and advanced access control to protect your documents and maintain regulatory compliance.
How to fill out excess title iv funds

How to fill out excess title iv funds
01
Review your financial aid award letter to determine if you have excess Title IV funds.
02
Contact your school's financial aid office for guidance on how to proceed.
03
Complete any required forms or paperwork to officially request the excess funds.
04
Use the excess funds for educational expenses or return them to the school if necessary.
Who needs excess title iv funds?
01
Students who have received more Title IV financial aid than needed to cover their tuition, fees, and other educational expenses may have excess Title IV funds.
Fill
form
: Try Risk Free
For pdfFiller’s FAQs
Below is a list of the most common customer questions. If you can’t find an answer to your question, please don’t hesitate to reach out to us.
How do I make edits in excess title iv funds without leaving Chrome?
Adding the pdfFiller Google Chrome Extension to your web browser will allow you to start editing excess title iv funds and other documents right away when you search for them on a Google page. People who use Chrome can use the service to make changes to their files while they are on the Chrome browser. pdfFiller lets you make fillable documents and make changes to existing PDFs from any internet-connected device.
Can I create an eSignature for the excess title iv funds in Gmail?
You may quickly make your eSignature using pdfFiller and then eSign your excess title iv funds right from your mailbox using pdfFiller's Gmail add-on. Please keep in mind that in order to preserve your signatures and signed papers, you must first create an account.
How do I edit excess title iv funds on an iOS device?
Create, modify, and share excess title iv funds using the pdfFiller iOS app. Easy to install from the Apple Store. You may sign up for a free trial and then purchase a membership.
What is excess title iv funds?
Excess Title IV funds refer to federal financial aid funds that exceed the total cost of attendance for a student.
Who is required to file excess title iv funds?
Schools that disburse Title IV funds to students are required to file excess Title IV funds.
How to fill out excess title iv funds?
Excess Title IV funds are typically reported through the Department of Education's online systems, such as the Common Origination and Disbursement (COD) System.
What is the purpose of excess title iv funds?
The purpose of excess Title IV funds is to ensure that schools are properly disbursing federal financial aid funds to students in accordance with regulations.
What information must be reported on excess title iv funds?
Information such as the total amount of Title IV funds disbursed, the cost of attendance, and any refunds or returns of Title IV funds must be reported on excess Title IV funds.
Fill out your excess title iv funds online with pdfFiller!
pdfFiller is an end-to-end solution for managing, creating, and editing documents and forms in the cloud. Save time and hassle by preparing your tax forms online.

Excess Title Iv Funds is not the form you're looking for?Search for another form here.
Relevant keywords
Related Forms
If you believe that this page should be taken down, please follow our DMCA take down process
here
.
This form may include fields for payment information. Data entered in these fields is not covered by PCI DSS compliance.