Get the free Students are responsible for proper care of equipment and software
Show details
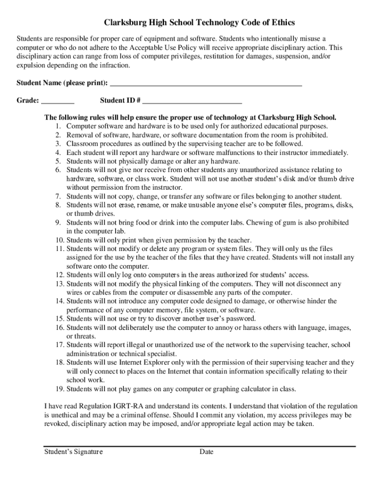
Clarksburg High School Technology Code of Ethics Students are responsible for proper care of equipment and software. Students who intentionally misuse a computer or who do not adhere to the Acceptable
We are not affiliated with any brand or entity on this form
Get, Create, Make and Sign students are responsible for
Edit your students are responsible for form online
Type text, complete fillable fields, insert images, highlight or blackout data for discretion, add comments, and more.
Add your legally-binding signature
Draw or type your signature, upload a signature image, or capture it with your digital camera.
Share your form instantly
Email, fax, or share your students are responsible for form via URL. You can also download, print, or export forms to your preferred cloud storage service.
Editing students are responsible for online
Use the instructions below to start using our professional PDF editor:
1
Set up an account. If you are a new user, click Start Free Trial and establish a profile.
2
Prepare a file. Use the Add New button to start a new project. Then, using your device, upload your file to the system by importing it from internal mail, the cloud, or adding its URL.
3
Edit students are responsible for. Rearrange and rotate pages, add new and changed texts, add new objects, and use other useful tools. When you're done, click Done. You can use the Documents tab to merge, split, lock, or unlock your files.
4
Get your file. Select your file from the documents list and pick your export method. You may save it as a PDF, email it, or upload it to the cloud.
pdfFiller makes working with documents easier than you could ever imagine. Create an account to find out for yourself how it works!
Uncompromising security for your PDF editing and eSignature needs
Your private information is safe with pdfFiller. We employ end-to-end encryption, secure cloud storage, and advanced access control to protect your documents and maintain regulatory compliance.
How to fill out students are responsible for
How to fill out students are responsible for
01
Make sure to read the instructions carefully before starting to fill out the form.
02
Fill out all the required fields with accurate information.
03
Provide any necessary documentation or evidence if requested.
04
Double-check all the information filled out before submitting the form.
05
Follow up with any additional requests or questions from the responsible party.
Who needs students are responsible for?
01
Students who are being asked to take responsibility for a particular task or action.
02
Educators or administrators who are assigning tasks or responsibilities to students.
03
Parents or guardians who are supervising and guiding students in their responsibilities.
Fill
form
: Try Risk Free
For pdfFiller’s FAQs
Below is a list of the most common customer questions. If you can’t find an answer to your question, please don’t hesitate to reach out to us.
How do I edit students are responsible for online?
With pdfFiller, you may not only alter the content but also rearrange the pages. Upload your students are responsible for and modify it with a few clicks. The editor lets you add photos, sticky notes, text boxes, and more to PDFs.
How do I fill out students are responsible for using my mobile device?
The pdfFiller mobile app makes it simple to design and fill out legal paperwork. Complete and sign students are responsible for and other papers using the app. Visit pdfFiller's website to learn more about the PDF editor's features.
How do I edit students are responsible for on an Android device?
The pdfFiller app for Android allows you to edit PDF files like students are responsible for. Mobile document editing, signing, and sending. Install the app to ease document management anywhere.
What is students are responsible for?
Students are responsible for completing assignments, attending classes, and following school rules.
Who is required to file students are responsible for?
Students themselves are required to fill out the information regarding their responsibilities.
How to fill out students are responsible for?
Students can fill out their responsibilities by listing tasks, deadlines, and any other obligations they have.
What is the purpose of students are responsible for?
The purpose of students being responsible for their tasks is to teach them accountability and time management skills.
What information must be reported on students are responsible for?
Students must report their tasks, deadlines, and any difficulties they may face in completing their responsibilities.
Fill out your students are responsible for online with pdfFiller!
pdfFiller is an end-to-end solution for managing, creating, and editing documents and forms in the cloud. Save time and hassle by preparing your tax forms online.
Students Are Responsible For is not the form you're looking for?Search for another form here.
Relevant keywords
Related Forms
If you believe that this page should be taken down, please follow our DMCA take down process
here
.
This form may include fields for payment information. Data entered in these fields is not covered by PCI DSS compliance.