Get the free WIRE TRANSFER AGREEMENT AND DISCLOSURE ...
Show details
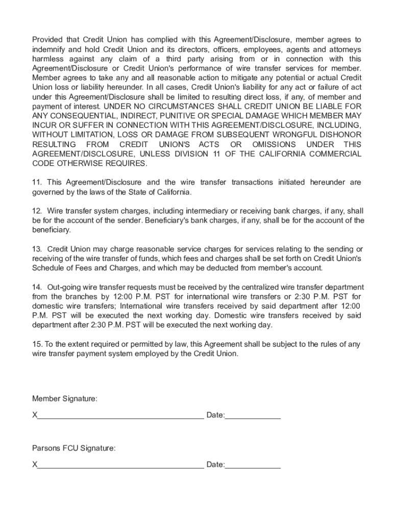
WIRE TRANSFER AGREEMENT AND DISCLOSURE STATEMENT **YOU MUST sign this disclosure form at the bottom and submit it along with your Wire Instructions for your request to be processed** Parsons Federal
We are not affiliated with any brand or entity on this form
Get, Create, Make and Sign wire transfer agreement and
Edit your wire transfer agreement and form online
Type text, complete fillable fields, insert images, highlight or blackout data for discretion, add comments, and more.
Add your legally-binding signature
Draw or type your signature, upload a signature image, or capture it with your digital camera.
Share your form instantly
Email, fax, or share your wire transfer agreement and form via URL. You can also download, print, or export forms to your preferred cloud storage service.
How to edit wire transfer agreement and online
To use the services of a skilled PDF editor, follow these steps:
1
Log into your account. If you don't have a profile yet, click Start Free Trial and sign up for one.
2
Upload a document. Select Add New on your Dashboard and transfer a file into the system in one of the following ways: by uploading it from your device or importing from the cloud, web, or internal mail. Then, click Start editing.
3
Edit wire transfer agreement and. Rearrange and rotate pages, add new and changed texts, add new objects, and use other useful tools. When you're done, click Done. You can use the Documents tab to merge, split, lock, or unlock your files.
4
Save your file. Select it from your records list. Then, click the right toolbar and select one of the various exporting options: save in numerous formats, download as PDF, email, or cloud.
With pdfFiller, it's always easy to work with documents.
Uncompromising security for your PDF editing and eSignature needs
Your private information is safe with pdfFiller. We employ end-to-end encryption, secure cloud storage, and advanced access control to protect your documents and maintain regulatory compliance.
How to fill out wire transfer agreement and
How to fill out wire transfer agreement and
01
Obtain a wire transfer agreement form from your bank or financial institution.
02
Fill in your personal information such as name, address, and contact details.
03
Provide information about your bank account, including account number and routing number.
04
Specify the amount of money you wish to transfer and the currency.
05
Review the terms and conditions of the agreement before signing and submitting it to the bank.
Who needs wire transfer agreement and?
01
Individuals who need to transfer money electronically to another person or business.
02
Businesses that need to make regular or large payments to suppliers or employees.
03
Financial institutions that facilitate wire transfers for their clients.
Fill
form
: Try Risk Free
For pdfFiller’s FAQs
Below is a list of the most common customer questions. If you can’t find an answer to your question, please don’t hesitate to reach out to us.
How can I send wire transfer agreement and to be eSigned by others?
When you're ready to share your wire transfer agreement and, you can swiftly email it to others and receive the eSigned document back. You may send your PDF through email, fax, text message, or USPS mail, or you can notarize it online. All of this may be done without ever leaving your account.
Can I create an electronic signature for signing my wire transfer agreement and in Gmail?
When you use pdfFiller's add-on for Gmail, you can add or type a signature. You can also draw a signature. pdfFiller lets you eSign your wire transfer agreement and and other documents right from your email. In order to keep signed documents and your own signatures, you need to sign up for an account.
How do I complete wire transfer agreement and on an Android device?
Complete your wire transfer agreement and and other papers on your Android device by using the pdfFiller mobile app. The program includes all of the necessary document management tools, such as editing content, eSigning, annotating, sharing files, and so on. You will be able to view your papers at any time as long as you have an internet connection.
What is wire transfer agreement and?
A wire transfer agreement is a legal contract between two parties that outlines the terms and conditions for transferring funds electronically.
Who is required to file wire transfer agreement and?
Financial institutions, such as banks and money transfer companies, are required to file wire transfer agreements.
How to fill out wire transfer agreement and?
To fill out a wire transfer agreement, both parties must provide their contact information, account details, and agree on the terms of the transfer.
What is the purpose of wire transfer agreement and?
The purpose of a wire transfer agreement is to establish a secure and legally binding method for transferring funds between parties.
What information must be reported on wire transfer agreement and?
The wire transfer agreement must include the amount of funds being transferred, the sender and recipient's information, and any fees associated with the transfer.
Fill out your wire transfer agreement and online with pdfFiller!
pdfFiller is an end-to-end solution for managing, creating, and editing documents and forms in the cloud. Save time and hassle by preparing your tax forms online.
Wire Transfer Agreement And is not the form you're looking for?Search for another form here.
Relevant keywords
Related Forms
If you believe that this page should be taken down, please follow our DMCA take down process
here
.
This form may include fields for payment information. Data entered in these fields is not covered by PCI DSS compliance.