Get the free Area 4-H members will highlight speaking skills this weekend
Show details
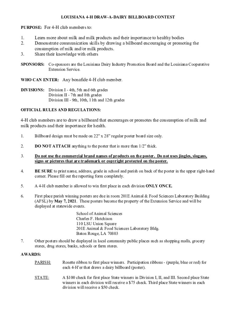
LOUISIANA 4H DRAWADAIRY BILLBOARD CONTEST PURPOSE: For 4H club members to:1. 2. 3. Learn more about milk and milk products and their importance to healthy bodies Demonstrate communication skills by
We are not affiliated with any brand or entity on this form
Get, Create, Make and Sign area 4-h members will
Edit your area 4-h members will form online
Type text, complete fillable fields, insert images, highlight or blackout data for discretion, add comments, and more.
Add your legally-binding signature
Draw or type your signature, upload a signature image, or capture it with your digital camera.
Share your form instantly
Email, fax, or share your area 4-h members will form via URL. You can also download, print, or export forms to your preferred cloud storage service.
Editing area 4-h members will online
Use the instructions below to start using our professional PDF editor:
1
Register the account. Begin by clicking Start Free Trial and create a profile if you are a new user.
2
Prepare a file. Use the Add New button. Then upload your file to the system from your device, importing it from internal mail, the cloud, or by adding its URL.
3
Edit area 4-h members will. Rearrange and rotate pages, insert new and alter existing texts, add new objects, and take advantage of other helpful tools. Click Done to apply changes and return to your Dashboard. Go to the Documents tab to access merging, splitting, locking, or unlocking functions.
4
Get your file. Select the name of your file in the docs list and choose your preferred exporting method. You can download it as a PDF, save it in another format, send it by email, or transfer it to the cloud.
It's easier to work with documents with pdfFiller than you could have ever thought. You can sign up for an account to see for yourself.
Uncompromising security for your PDF editing and eSignature needs
Your private information is safe with pdfFiller. We employ end-to-end encryption, secure cloud storage, and advanced access control to protect your documents and maintain regulatory compliance.
How to fill out area 4-h members will
How to fill out area 4-h members will
01
Obtain the necessary forms and documents from the 4-H organization.
02
Fill out personal information such as name, address, and contact details.
03
Provide information about the 4-H club you are a member of.
04
List any projects or activities you have participated in as a 4-H member.
05
Include any awards or achievements you have received through your involvement in 4-H.
06
Review the completed form for accuracy and completeness before submitting.
Who needs area 4-h members will?
01
H members who are applying for recognition or awards within the organization.
02
Administrators or officials responsible for keeping track of member information and achievements.
Fill
form
: Try Risk Free
For pdfFiller’s FAQs
Below is a list of the most common customer questions. If you can’t find an answer to your question, please don’t hesitate to reach out to us.
Where do I find area 4-h members will?
The pdfFiller premium subscription gives you access to a large library of fillable forms (over 25 million fillable templates) that you can download, fill out, print, and sign. In the library, you'll have no problem discovering state-specific area 4-h members will and other forms. Find the template you want and tweak it with powerful editing tools.
How can I edit area 4-h members will on a smartphone?
The pdfFiller mobile applications for iOS and Android are the easiest way to edit documents on the go. You may get them from the Apple Store and Google Play. More info about the applications here. Install and log in to edit area 4-h members will.
How do I edit area 4-h members will on an Android device?
The pdfFiller app for Android allows you to edit PDF files like area 4-h members will. Mobile document editing, signing, and sending. Install the app to ease document management anywhere.
What is area 4-h members will?
Area 4-h members will is a document outlining the wishes of 4-H members regarding their assets and possessions.
Who is required to file area 4-h members will?
All 4-H members who wish to specify their wishes regarding their assets and possessions are required to file an area 4-h members will.
How to fill out area 4-h members will?
Area 4-h members will can be filled out by including all relevant information about one's possessions, beneficiaries, and any specific instructions or wishes.
What is the purpose of area 4-h members will?
The purpose of area 4-h members will is to ensure that the wishes of 4-H members regarding their assets and possessions are carried out after their passing.
What information must be reported on area 4-h members will?
Information regarding one's assets, beneficiaries, specific instructions or wishes, and any other pertinent details must be reported on area 4-h members will.
Fill out your area 4-h members will online with pdfFiller!
pdfFiller is an end-to-end solution for managing, creating, and editing documents and forms in the cloud. Save time and hassle by preparing your tax forms online.
Area 4-H Members Will is not the form you're looking for?Search for another form here.
Relevant keywords
If you believe that this page should be taken down, please follow our DMCA take down process
here
.
This form may include fields for payment information. Data entered in these fields is not covered by PCI DSS compliance.