Get the free Agenda Item #12-89
Show details
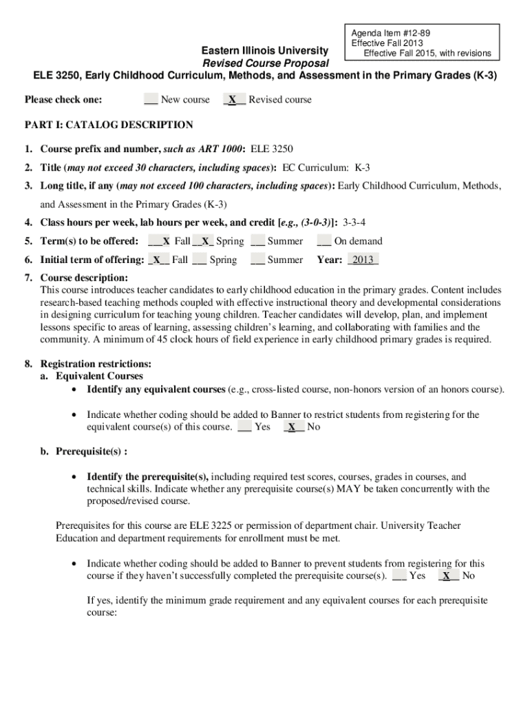
Agenda Item #1289 Effective Fall 2013 Effective Fall 2015, with revisions Eastern Illinois University Revised Course Proposal EYE 3250, Early Childhood Curriculum, Methods, and Assessment in the Primary
We are not affiliated with any brand or entity on this form
Get, Create, Make and Sign agenda item 12-89
Edit your agenda item 12-89 form online
Type text, complete fillable fields, insert images, highlight or blackout data for discretion, add comments, and more.
Add your legally-binding signature
Draw or type your signature, upload a signature image, or capture it with your digital camera.
Share your form instantly
Email, fax, or share your agenda item 12-89 form via URL. You can also download, print, or export forms to your preferred cloud storage service.
How to edit agenda item 12-89 online
To use the professional PDF editor, follow these steps:
1
Register the account. Begin by clicking Start Free Trial and create a profile if you are a new user.
2
Upload a file. Select Add New on your Dashboard and upload a file from your device or import it from the cloud, online, or internal mail. Then click Edit.
3
Edit agenda item 12-89. Text may be added and replaced, new objects can be included, pages can be rearranged, watermarks and page numbers can be added, and so on. When you're done editing, click Done and then go to the Documents tab to combine, divide, lock, or unlock the file.
4
Save your file. Choose it from the list of records. Then, shift the pointer to the right toolbar and select one of the several exporting methods: save it in multiple formats, download it as a PDF, email it, or save it to the cloud.
With pdfFiller, it's always easy to work with documents.
Uncompromising security for your PDF editing and eSignature needs
Your private information is safe with pdfFiller. We employ end-to-end encryption, secure cloud storage, and advanced access control to protect your documents and maintain regulatory compliance.
Fill
form
: Try Risk Free
For pdfFiller’s FAQs
Below is a list of the most common customer questions. If you can’t find an answer to your question, please don’t hesitate to reach out to us.
How do I execute agenda item 12-89 online?
pdfFiller makes it easy to finish and sign agenda item 12-89 online. It lets you make changes to original PDF content, highlight, black out, erase, and write text anywhere on a page, legally eSign your form, and more, all from one place. Create a free account and use the web to keep track of professional documents.
How can I edit agenda item 12-89 on a smartphone?
Using pdfFiller's mobile-native applications for iOS and Android is the simplest method to edit documents on a mobile device. You may get them from the Apple App Store and Google Play, respectively. More information on the apps may be found here. Install the program and log in to begin editing agenda item 12-89.
How do I edit agenda item 12-89 on an Android device?
Yes, you can. With the pdfFiller mobile app for Android, you can edit, sign, and share agenda item 12-89 on your mobile device from any location; only an internet connection is needed. Get the app and start to streamline your document workflow from anywhere.
What is agenda item 12-89?
Agenda item 12-89 refers to a specific topic or issue that is being discussed or presented during a meeting.
Who is required to file agenda item 12-89?
The specific individuals or entities who are required to file agenda item 12-89 will depend on the specific rules and regulations of the organization or governing body.
How to fill out agenda item 12-89?
The process for filling out agenda item 12-89 will depend on the specific requirements and instructions provided by the organization or governing body.
What is the purpose of agenda item 12-89?
The purpose of agenda item 12-89 is to address a specific topic or issue that needs to be discussed, decided upon, or acted upon during a meeting.
What information must be reported on agenda item 12-89?
The specific information that must be reported on agenda item 12-89 will depend on the nature of the topic or issue being addressed.
Fill out your agenda item 12-89 online with pdfFiller!
pdfFiller is an end-to-end solution for managing, creating, and editing documents and forms in the cloud. Save time and hassle by preparing your tax forms online.
Agenda Item 12-89 is not the form you're looking for?Search for another form here.
Relevant keywords
Related Forms
If you believe that this page should be taken down, please follow our DMCA take down process
here
.
This form may include fields for payment information. Data entered in these fields is not covered by PCI DSS compliance.