
Get the free Tech & Lifestyle
Show details
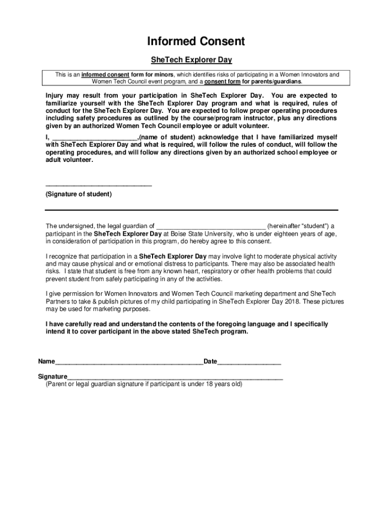
Informed Consent Speech Explorer Day This is an informed consent form for minors, which identifies risks of participating in a Woman Innovators and Women Tech Council event program, and a consent
We are not affiliated with any brand or entity on this form
Get, Create, Make and Sign tech ampamp lifestyle

Edit your tech ampamp lifestyle form online
Type text, complete fillable fields, insert images, highlight or blackout data for discretion, add comments, and more.

Add your legally-binding signature
Draw or type your signature, upload a signature image, or capture it with your digital camera.

Share your form instantly
Email, fax, or share your tech ampamp lifestyle form via URL. You can also download, print, or export forms to your preferred cloud storage service.
Editing tech ampamp lifestyle online
To use the professional PDF editor, follow these steps below:
1
Log in. Click Start Free Trial and create a profile if necessary.
2
Upload a document. Select Add New on your Dashboard and transfer a file into the system in one of the following ways: by uploading it from your device or importing from the cloud, web, or internal mail. Then, click Start editing.
3
Edit tech ampamp lifestyle. Rearrange and rotate pages, add and edit text, and use additional tools. To save changes and return to your Dashboard, click Done. The Documents tab allows you to merge, divide, lock, or unlock files.
4
Save your file. Select it from your records list. Then, click the right toolbar and select one of the various exporting options: save in numerous formats, download as PDF, email, or cloud.
With pdfFiller, dealing with documents is always straightforward. Try it right now!
Uncompromising security for your PDF editing and eSignature needs
Your private information is safe with pdfFiller. We employ end-to-end encryption, secure cloud storage, and advanced access control to protect your documents and maintain regulatory compliance.
How to fill out tech ampamp lifestyle

How to fill out tech ampamp lifestyle
01
Gather information about the latest tech and lifestyle trends.
02
Create a plan or outline for each section of the tech and lifestyle content.
03
Research and gather facts, quotes, and images to support your points.
04
Write clear and engaging content that is easy to understand and appeals to the target audience.
05
Proofread and edit your work to ensure accuracy and quality before publishing.
Who needs tech ampamp lifestyle?
01
Individuals who are interested in staying up-to-date with the latest technology and lifestyle trends.
02
Bloggers or influencers who create content related to technology and lifestyle.
03
Businesses looking to reach consumers who are interested in tech and lifestyle products or services.
Fill
form
: Try Risk Free
For pdfFiller’s FAQs
Below is a list of the most common customer questions. If you can’t find an answer to your question, please don’t hesitate to reach out to us.
How do I edit tech ampamp lifestyle in Chrome?
Install the pdfFiller Google Chrome Extension to edit tech ampamp lifestyle and other documents straight from Google search results. When reading documents in Chrome, you may edit them. Create fillable PDFs and update existing PDFs using pdfFiller.
Can I sign the tech ampamp lifestyle electronically in Chrome?
You certainly can. You get not just a feature-rich PDF editor and fillable form builder with pdfFiller, but also a robust e-signature solution that you can add right to your Chrome browser. You may use our addon to produce a legally enforceable eSignature by typing, sketching, or photographing your signature with your webcam. Choose your preferred method and eSign your tech ampamp lifestyle in minutes.
How can I fill out tech ampamp lifestyle on an iOS device?
Install the pdfFiller app on your iOS device to fill out papers. Create an account or log in if you already have one. After registering, upload your tech ampamp lifestyle. You may now use pdfFiller's advanced features like adding fillable fields and eSigning documents from any device, anywhere.
What is tech ampamp lifestyle?
Tech and lifestyle refer to technological advancements and how they impact people's ways of living.
Who is required to file tech ampamp lifestyle?
Individuals or companies involved in the technology and lifestyle industries may be required to file reports on tech and lifestyle.
How to fill out tech ampamp lifestyle?
To fill out a report on tech and lifestyle, one must provide relevant information about technological trends and their influence on modern living.
What is the purpose of tech ampamp lifestyle?
The purpose of tech and lifestyle reports is to analyze the intersection of technology and daily living, and to provide insights into how these aspects interact.
What information must be reported on tech ampamp lifestyle?
Information such as current technology trends, consumer behavior, market analysis, and lifestyle changes influenced by technology must be reported on tech and lifestyle.
Fill out your tech ampamp lifestyle online with pdfFiller!
pdfFiller is an end-to-end solution for managing, creating, and editing documents and forms in the cloud. Save time and hassle by preparing your tax forms online.

Tech Ampamp Lifestyle is not the form you're looking for?Search for another form here.
Relevant keywords
Related Forms
If you believe that this page should be taken down, please follow our DMCA take down process
here
.
This form may include fields for payment information. Data entered in these fields is not covered by PCI DSS compliance.