Get the free IEP Folders Filing for Instructional Assistants - Connect Suite
Show details
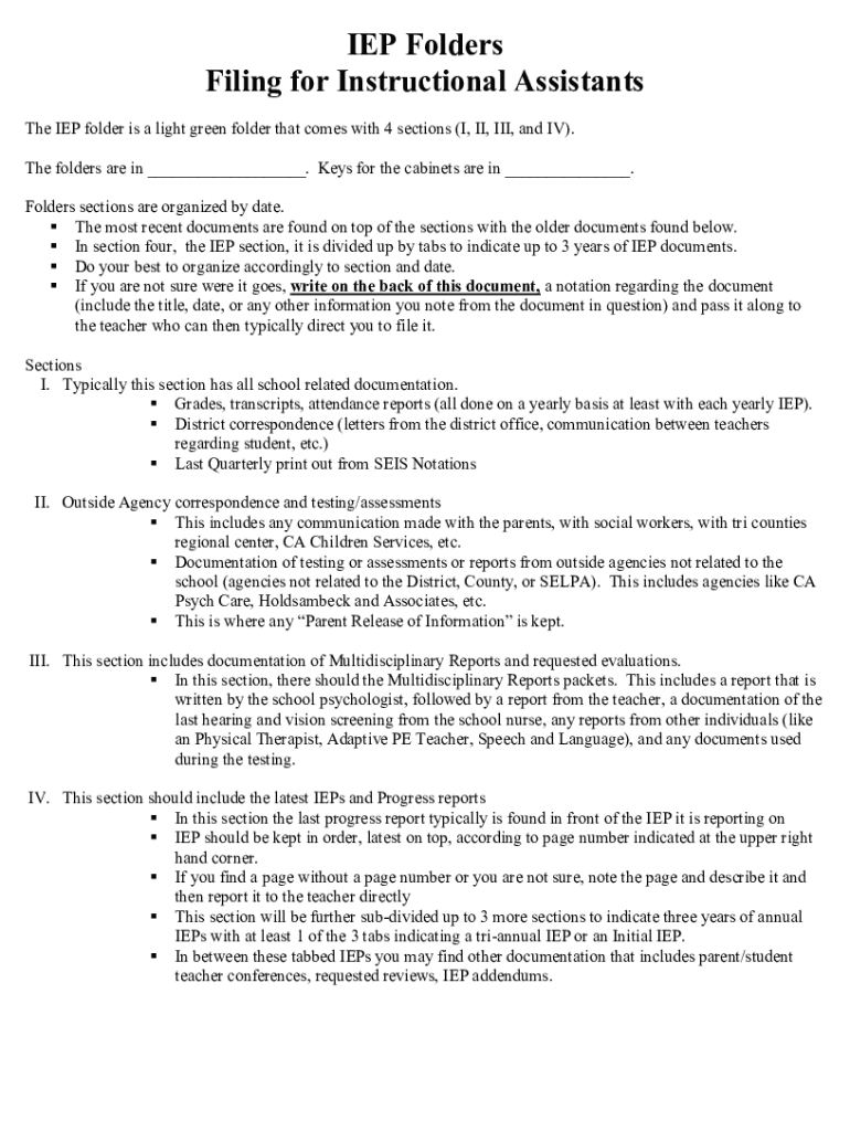
IEP Folders Filing for Instructional Assistants The IEP folder is a light green folder that comes with 4 sections (I, II, III, and IV). The folders are in ___. Keys for the cabinets are in ___. Folders
We are not affiliated with any brand or entity on this form
Get, Create, Make and Sign iep folders filing for
Edit your iep folders filing for form online
Type text, complete fillable fields, insert images, highlight or blackout data for discretion, add comments, and more.
Add your legally-binding signature
Draw or type your signature, upload a signature image, or capture it with your digital camera.
Share your form instantly
Email, fax, or share your iep folders filing for form via URL. You can also download, print, or export forms to your preferred cloud storage service.
Editing iep folders filing for online
Here are the steps you need to follow to get started with our professional PDF editor:
1
Set up an account. If you are a new user, click Start Free Trial and establish a profile.
2
Prepare a file. Use the Add New button to start a new project. Then, using your device, upload your file to the system by importing it from internal mail, the cloud, or adding its URL.
3
Edit iep folders filing for. Add and change text, add new objects, move pages, add watermarks and page numbers, and more. Then click Done when you're done editing and go to the Documents tab to merge or split the file. If you want to lock or unlock the file, click the lock or unlock button.
4
Get your file. Select the name of your file in the docs list and choose your preferred exporting method. You can download it as a PDF, save it in another format, send it by email, or transfer it to the cloud.
Dealing with documents is always simple with pdfFiller.
Uncompromising security for your PDF editing and eSignature needs
Your private information is safe with pdfFiller. We employ end-to-end encryption, secure cloud storage, and advanced access control to protect your documents and maintain regulatory compliance.
How to fill out iep folders filing for
How to fill out iep folders filing for
01
Gather all necessary documentation such as assessments, progress reports, and accommodation plans.
02
Review the IEP form to understand the required information and sections to be completed.
03
Fill out the student's personal information including name, date of birth, and grade level.
04
Provide detailed information about the student's current academic performance, special needs, and goals.
05
Collaborate with the student's teachers, parents, and any other relevant professionals to ensure accuracy and completeness.
06
Review and revise the draft IEP folder as needed before finalizing and submitting for approval.
Who needs iep folders filing for?
01
Students with disabilities or special needs who require individualized education plans to support their academic success.
Fill
form
: Try Risk Free
For pdfFiller’s FAQs
Below is a list of the most common customer questions. If you can’t find an answer to your question, please don’t hesitate to reach out to us.
How do I make edits in iep folders filing for without leaving Chrome?
Install the pdfFiller Chrome Extension to modify, fill out, and eSign your iep folders filing for, which you can access right from a Google search page. Fillable documents without leaving Chrome on any internet-connected device.
Can I sign the iep folders filing for electronically in Chrome?
As a PDF editor and form builder, pdfFiller has a lot of features. It also has a powerful e-signature tool that you can add to your Chrome browser. With our extension, you can type, draw, or take a picture of your signature with your webcam to make your legally-binding eSignature. Choose how you want to sign your iep folders filing for and you'll be done in minutes.
Can I create an electronic signature for signing my iep folders filing for in Gmail?
Upload, type, or draw a signature in Gmail with the help of pdfFiller’s add-on. pdfFiller enables you to eSign your iep folders filing for and other documents right in your inbox. Register your account in order to save signed documents and your personal signatures.
What is iep folders filing for?
IEP folders filing is for organizing and documenting Individualized Education Programs for students with special needs.
Who is required to file iep folders filing for?
Teachers, special education coordinators, and school administrators are required to file IEP folders for students with special needs.
How to fill out iep folders filing for?
IEP folders should be filled out by documenting the student's current level of performance, setting specific goals and objectives, and outlining the services and accommodations needed.
What is the purpose of iep folders filing for?
The purpose of IEP folders filing is to provide a roadmap for meeting the educational needs of students with special needs and ensuring they receive appropriate support and services.
What information must be reported on iep folders filing for?
IEP folders should include information on the student's strengths and weaknesses, academic goals, progress monitoring, and any related services or accommodations.
Fill out your iep folders filing for online with pdfFiller!
pdfFiller is an end-to-end solution for managing, creating, and editing documents and forms in the cloud. Save time and hassle by preparing your tax forms online.
Iep Folders Filing For is not the form you're looking for?Search for another form here.
Relevant keywords
Related Forms
If you believe that this page should be taken down, please follow our DMCA take down process
here
.
This form may include fields for payment information. Data entered in these fields is not covered by PCI DSS compliance.