Get the free Fifteenth Judicial District Court Parishes of Acadia, ...
Show details
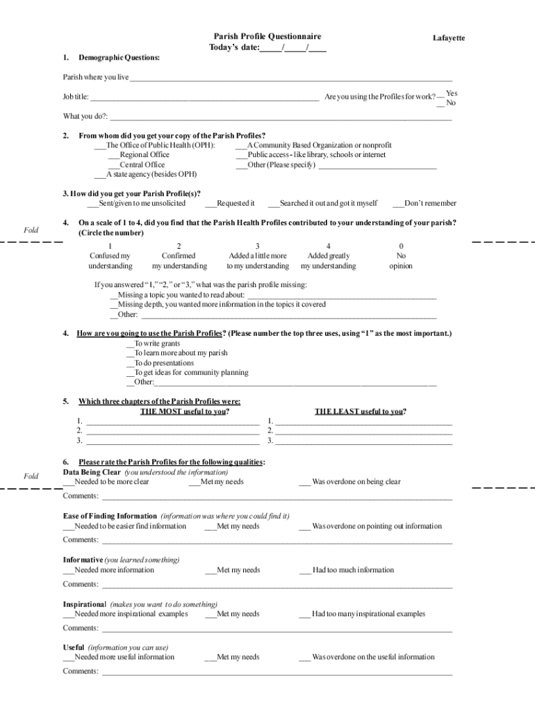
1. Parish Profile Questionnaire Today's date:___/___/___Demographic Questions:LafayetteParish where you live ___ Job title: ___ Are you using the Profiles for work? __ Yes __ Now What you do?: ___
We are not affiliated with any brand or entity on this form
Get, Create, Make and Sign fifteenth judicial district court
Edit your fifteenth judicial district court form online
Type text, complete fillable fields, insert images, highlight or blackout data for discretion, add comments, and more.
Add your legally-binding signature
Draw or type your signature, upload a signature image, or capture it with your digital camera.
Share your form instantly
Email, fax, or share your fifteenth judicial district court form via URL. You can also download, print, or export forms to your preferred cloud storage service.
Editing fifteenth judicial district court online
Follow the guidelines below to use a professional PDF editor:
1
Sign into your account. It's time to start your free trial.
2
Simply add a document. Select Add New from your Dashboard and import a file into the system by uploading it from your device or importing it via the cloud, online, or internal mail. Then click Begin editing.
3
Edit fifteenth judicial district court. Rearrange and rotate pages, add and edit text, and use additional tools. To save changes and return to your Dashboard, click Done. The Documents tab allows you to merge, divide, lock, or unlock files.
4
Save your file. Select it from your records list. Then, click the right toolbar and select one of the various exporting options: save in numerous formats, download as PDF, email, or cloud.
It's easier to work with documents with pdfFiller than you can have ever thought. You can sign up for an account to see for yourself.
Uncompromising security for your PDF editing and eSignature needs
Your private information is safe with pdfFiller. We employ end-to-end encryption, secure cloud storage, and advanced access control to protect your documents and maintain regulatory compliance.
How to fill out fifteenth judicial district court
How to fill out fifteenth judicial district court
01
Obtain the necessary forms from the fifteenth judicial district court website or the courthouse
02
Fill out the forms with accurate and complete information
03
Gather any supporting documents that may be required
04
Make copies of all documents for your records
05
Submit the completed forms and documents to the fifteenth judicial district court
Who needs fifteenth judicial district court?
01
Individuals who are involved in legal matters within the fifteenth judicial district, such as civil cases, criminal cases, or family law cases
02
Attorneys who are representing clients with cases in the fifteenth judicial district court
03
Any party seeking to file a lawsuit or respond to a lawsuit within the jurisdiction of the fifteenth judicial district court
Fill
form
: Try Risk Free
For pdfFiller’s FAQs
Below is a list of the most common customer questions. If you can’t find an answer to your question, please don’t hesitate to reach out to us.
How can I modify fifteenth judicial district court without leaving Google Drive?
By combining pdfFiller with Google Docs, you can generate fillable forms directly in Google Drive. No need to leave Google Drive to make edits or sign documents, including fifteenth judicial district court. Use pdfFiller's features in Google Drive to handle documents on any internet-connected device.
How can I send fifteenth judicial district court for eSignature?
fifteenth judicial district court is ready when you're ready to send it out. With pdfFiller, you can send it out securely and get signatures in just a few clicks. PDFs can be sent to you by email, text message, fax, USPS mail, or notarized on your account. You can do this right from your account. Become a member right now and try it out for yourself!
Can I create an eSignature for the fifteenth judicial district court in Gmail?
With pdfFiller's add-on, you may upload, type, or draw a signature in Gmail. You can eSign your fifteenth judicial district court and other papers directly in your mailbox with pdfFiller. To preserve signed papers and your personal signatures, create an account.
What is fifteenth judicial district court?
The fifteenth judicial district court is a court within the state judicial system that has jurisdiction over a specific geographical area.
Who is required to file fifteenth judicial district court?
Individuals or entities involved in a legal matter within the jurisdiction of the fifteenth judicial district court are required to file with the court.
How to fill out fifteenth judicial district court?
To fill out the fifteenth judicial district court forms, individuals must provide relevant information about their case, including parties involved, claims, and any supporting documents.
What is the purpose of fifteenth judicial district court?
The purpose of the fifteenth judicial district court is to adjudicate legal disputes and administer justice within its designated area.
What information must be reported on fifteenth judicial district court?
Information such as names of parties, nature of the case, claims, and any evidence must be reported on fifteenth judicial district court forms.
Fill out your fifteenth judicial district court online with pdfFiller!
pdfFiller is an end-to-end solution for managing, creating, and editing documents and forms in the cloud. Save time and hassle by preparing your tax forms online.
Fifteenth Judicial District Court is not the form you're looking for?Search for another form here.
Relevant keywords
Related Forms
If you believe that this page should be taken down, please follow our DMCA take down process
here
.
This form may include fields for payment information. Data entered in these fields is not covered by PCI DSS compliance.