Get the free Safety Relocator Vehicle Update Form
Show details
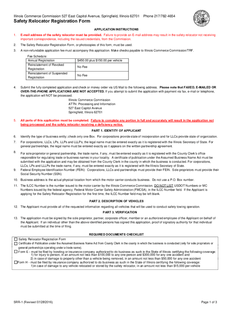
Illinois Commerce Commission 527 East Capitol Avenue, Springfield, Illinois 62701Safety Re locator Registration Hormone 217/7824654APPLICATION INSTRUCTIONS 1. Email address of the safety relocator
We are not affiliated with any brand or entity on this form
Get, Create, Make and Sign safety relocator vehicle update
Edit your safety relocator vehicle update form online
Type text, complete fillable fields, insert images, highlight or blackout data for discretion, add comments, and more.
Add your legally-binding signature
Draw or type your signature, upload a signature image, or capture it with your digital camera.
Share your form instantly
Email, fax, or share your safety relocator vehicle update form via URL. You can also download, print, or export forms to your preferred cloud storage service.
Editing safety relocator vehicle update online
Use the instructions below to start using our professional PDF editor:
1
Log in. Click Start Free Trial and create a profile if necessary.
2
Upload a document. Select Add New on your Dashboard and transfer a file into the system in one of the following ways: by uploading it from your device or importing from the cloud, web, or internal mail. Then, click Start editing.
3
Edit safety relocator vehicle update. Add and replace text, insert new objects, rearrange pages, add watermarks and page numbers, and more. Click Done when you are finished editing and go to the Documents tab to merge, split, lock or unlock the file.
4
Get your file. Select your file from the documents list and pick your export method. You may save it as a PDF, email it, or upload it to the cloud.
With pdfFiller, it's always easy to work with documents. Try it out!
Uncompromising security for your PDF editing and eSignature needs
Your private information is safe with pdfFiller. We employ end-to-end encryption, secure cloud storage, and advanced access control to protect your documents and maintain regulatory compliance.
How to fill out safety relocator vehicle update
How to fill out safety relocator vehicle update
01
Make sure you have the latest version of the safety relocator vehicle update form
02
Fill out the form with accurate information regarding the vehicle's safety features and any updates that have been made
03
Double check all information for accuracy before submitting the form
Who needs safety relocator vehicle update?
01
Anyone who owns or operates a safety relocator vehicle that has had safety updates or modifications made to it
Fill
form
: Try Risk Free
For pdfFiller’s FAQs
Below is a list of the most common customer questions. If you can’t find an answer to your question, please don’t hesitate to reach out to us.
How can I get safety relocator vehicle update?
With pdfFiller, an all-in-one online tool for professional document management, it's easy to fill out documents. Over 25 million fillable forms are available on our website, and you can find the safety relocator vehicle update in a matter of seconds. Open it right away and start making it your own with help from advanced editing tools.
Can I create an eSignature for the safety relocator vehicle update in Gmail?
You may quickly make your eSignature using pdfFiller and then eSign your safety relocator vehicle update right from your mailbox using pdfFiller's Gmail add-on. Please keep in mind that in order to preserve your signatures and signed papers, you must first create an account.
How do I edit safety relocator vehicle update on an iOS device?
Create, modify, and share safety relocator vehicle update using the pdfFiller iOS app. Easy to install from the Apple Store. You may sign up for a free trial and then purchase a membership.
What is safety relocator vehicle update?
The safety relocator vehicle update is a mandatory update that ensures the safety of vehicles used for relocating individuals.
Who is required to file safety relocator vehicle update?
Any individual or company that operates vehicles for relocating people is required to file the safety relocator vehicle update.
How to fill out safety relocator vehicle update?
To fill out the safety relocator vehicle update, one must provide information about the vehicles used for relocation, including maintenance records and safety inspections.
What is the purpose of safety relocator vehicle update?
The purpose of the safety relocator vehicle update is to ensure that vehicles used for relocation are in compliance with safety regulations and standards.
What information must be reported on safety relocator vehicle update?
The safety relocator vehicle update must include information about the vehicles' maintenance history, safety inspections, and any repairs or upgrades made to ensure safety.
Fill out your safety relocator vehicle update online with pdfFiller!
pdfFiller is an end-to-end solution for managing, creating, and editing documents and forms in the cloud. Save time and hassle by preparing your tax forms online.
Safety Relocator Vehicle Update is not the form you're looking for?Search for another form here.
Relevant keywords
Related Forms
If you believe that this page should be taken down, please follow our DMCA take down process
here
.
This form may include fields for payment information. Data entered in these fields is not covered by PCI DSS compliance.