Get the free New York State Student Information Repository ... - SIRS Manual
Show details
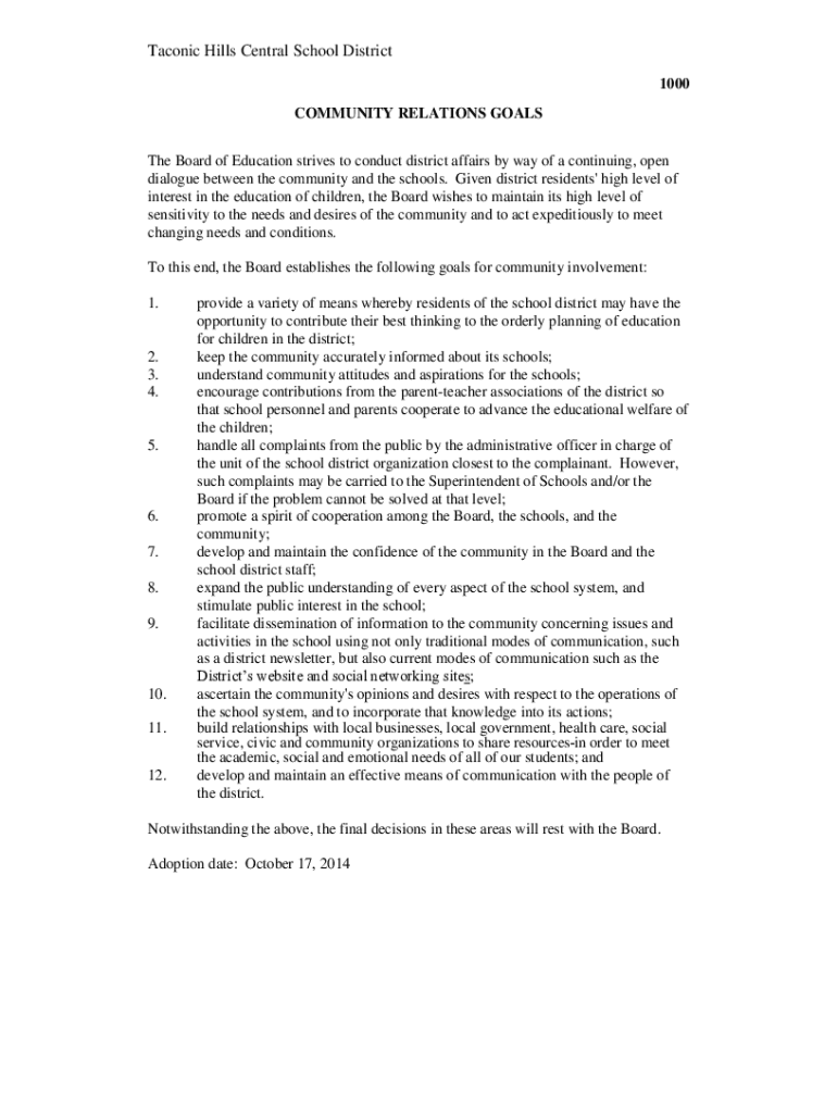
Laconic Hills Central School District 1000 COMMUNITY RELATIONS GOALS The Board of Education strives to conduct district affairs by way of a continuing, open dialogue between the community and the
We are not affiliated with any brand or entity on this form
Get, Create, Make and Sign new york state student
Edit your new york state student form online
Type text, complete fillable fields, insert images, highlight or blackout data for discretion, add comments, and more.
Add your legally-binding signature
Draw or type your signature, upload a signature image, or capture it with your digital camera.
Share your form instantly
Email, fax, or share your new york state student form via URL. You can also download, print, or export forms to your preferred cloud storage service.
How to edit new york state student online
Use the instructions below to start using our professional PDF editor:
1
Log in to account. Click Start Free Trial and register a profile if you don't have one.
2
Upload a file. Select Add New on your Dashboard and upload a file from your device or import it from the cloud, online, or internal mail. Then click Edit.
3
Edit new york state student. Add and change text, add new objects, move pages, add watermarks and page numbers, and more. Then click Done when you're done editing and go to the Documents tab to merge or split the file. If you want to lock or unlock the file, click the lock or unlock button.
4
Get your file. When you find your file in the docs list, click on its name and choose how you want to save it. To get the PDF, you can save it, send an email with it, or move it to the cloud.
pdfFiller makes working with documents easier than you could ever imagine. Register for an account and see for yourself!
Uncompromising security for your PDF editing and eSignature needs
Your private information is safe with pdfFiller. We employ end-to-end encryption, secure cloud storage, and advanced access control to protect your documents and maintain regulatory compliance.
How to fill out new york state student
How to fill out new york state student
01
Obtain the required forms for the New York State student financial aid application.
02
Fill out personal information such as name, address, contact details, and social security number.
03
Provide information about your household and family members, including income and assets.
04
Complete sections related to your educational background and intended course of study.
05
Gather any necessary supporting documents such as tax returns, bank statements, and letters of recommendation.
06
Review the completed application for accuracy and submit it by the deadline.
Who needs new york state student?
01
Students who are residents of New York State and are seeking financial assistance for higher education expenses.
02
Parents or guardians of students who require financial aid for their education.
03
Educational institutions in New York State that offer financial aid programs to their students.
Fill
form
: Try Risk Free
For pdfFiller’s FAQs
Below is a list of the most common customer questions. If you can’t find an answer to your question, please don’t hesitate to reach out to us.
How do I modify my new york state student in Gmail?
The pdfFiller Gmail add-on lets you create, modify, fill out, and sign new york state student and other documents directly in your email. Click here to get pdfFiller for Gmail. Eliminate tedious procedures and handle papers and eSignatures easily.
How do I edit new york state student on an iOS device?
Create, modify, and share new york state student using the pdfFiller iOS app. Easy to install from the Apple Store. You may sign up for a free trial and then purchase a membership.
How can I fill out new york state student on an iOS device?
Get and install the pdfFiller application for iOS. Next, open the app and log in or create an account to get access to all of the solution’s editing features. To open your new york state student, upload it from your device or cloud storage, or enter the document URL. After you complete all of the required fields within the document and eSign it (if that is needed), you can save it or share it with others.
What is new york state student?
The New York State Student takes into account the financial status of students and families to determine eligibility for state-funded financial aid programs.
Who is required to file new york state student?
Students and families who are seeking state-funded financial aid programs in New York are required to file the New York State Student.
How to fill out new york state student?
The New York State Student can be filled out online through the official website or through the paper application provided by the state.
What is the purpose of new york state student?
The purpose of the New York State Student is to assess the financial need of students and families in order to distribute state-funded financial aid programs fairly.
What information must be reported on new york state student?
Information such as income, assets, household size, and number of dependents must be reported on the New York State Student application.
Fill out your new york state student online with pdfFiller!
pdfFiller is an end-to-end solution for managing, creating, and editing documents and forms in the cloud. Save time and hassle by preparing your tax forms online.
New York State Student is not the form you're looking for?Search for another form here.
Relevant keywords
Related Forms
If you believe that this page should be taken down, please follow our DMCA take down process
here
.
This form may include fields for payment information. Data entered in these fields is not covered by PCI DSS compliance.