Get the free gsa, pbs, region 5 idiq for national a/e/i services combined ...
Show details
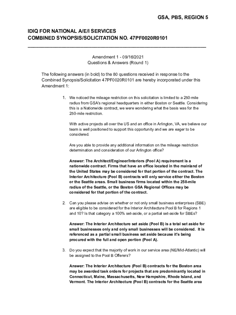
GSA, PBS, REGION 5 ID IQ FOR NATIONAL A/E/I Service COMBINED SYNOPSIS/SOLICITATION NO. 47PF0020R0101 ___ Amendment 1 09/16/2021 Questions & Answers (Round 1) The following answers (in bold) to the
We are not affiliated with any brand or entity on this form
Get, Create, Make and Sign gsa pbs region 5
Edit your gsa pbs region 5 form online
Type text, complete fillable fields, insert images, highlight or blackout data for discretion, add comments, and more.
Add your legally-binding signature
Draw or type your signature, upload a signature image, or capture it with your digital camera.
Share your form instantly
Email, fax, or share your gsa pbs region 5 form via URL. You can also download, print, or export forms to your preferred cloud storage service.
Editing gsa pbs region 5 online
To use the services of a skilled PDF editor, follow these steps:
1
Check your account. If you don't have a profile yet, click Start Free Trial and sign up for one.
2
Prepare a file. Use the Add New button. Then upload your file to the system from your device, importing it from internal mail, the cloud, or by adding its URL.
3
Edit gsa pbs region 5. Rearrange and rotate pages, add new and changed texts, add new objects, and use other useful tools. When you're done, click Done. You can use the Documents tab to merge, split, lock, or unlock your files.
4
Save your file. Select it from your list of records. Then, move your cursor to the right toolbar and choose one of the exporting options. You can save it in multiple formats, download it as a PDF, send it by email, or store it in the cloud, among other things.
With pdfFiller, it's always easy to deal with documents. Try it right now
Uncompromising security for your PDF editing and eSignature needs
Your private information is safe with pdfFiller. We employ end-to-end encryption, secure cloud storage, and advanced access control to protect your documents and maintain regulatory compliance.
How to fill out gsa pbs region 5
How to fill out gsa pbs region 5
01
Obtain the necessary forms from the General Services Administration (GSA) website or office.
02
Fill out the required information on the forms accurately and completely.
03
Include all supporting documentation requested, such as proof of eligibility or ownership.
04
Submit the completed forms and documentation to the appropriate GSA PBS Region 5 office for processing.
05
Await confirmation and further instructions from the GSA regarding your application.
Who needs gsa pbs region 5?
01
Any organization or individual looking to lease or manage federal real estate properties in Region 5 of the Public Buildings Service (PBS) would need GSA PBS Region 5.
Fill
form
: Try Risk Free
For pdfFiller’s FAQs
Below is a list of the most common customer questions. If you can’t find an answer to your question, please don’t hesitate to reach out to us.
How do I make edits in gsa pbs region 5 without leaving Chrome?
Install the pdfFiller Google Chrome Extension to edit gsa pbs region 5 and other documents straight from Google search results. When reading documents in Chrome, you may edit them. Create fillable PDFs and update existing PDFs using pdfFiller.
How do I edit gsa pbs region 5 straight from my smartphone?
The pdfFiller mobile applications for iOS and Android are the easiest way to edit documents on the go. You may get them from the Apple Store and Google Play. More info about the applications here. Install and log in to edit gsa pbs region 5.
Can I edit gsa pbs region 5 on an Android device?
You can make any changes to PDF files, such as gsa pbs region 5, with the help of the pdfFiller mobile app for Android. Edit, sign, and send documents right from your mobile device. Install the app and streamline your document management wherever you are.
What is gsa pbs region 5?
GSA PBS Region 5 refers to the General Services Administration Public Buildings Service Region 5, which oversees federal real estate management in the midwestern United States.
Who is required to file gsa pbs region 5?
Federal agencies and entities that lease or own property overseen by GSA PBS Region 5 are required to file reports.
How to fill out gsa pbs region 5?
The GSA PBS Region 5 reporting form must be completed with accurate information about the federal property being managed.
What is the purpose of gsa pbs region 5?
The purpose of GSA PBS Region 5 is to ensure proper management and utilization of federal real estate assets in the region.
What information must be reported on gsa pbs region 5?
Information such as property location, size, use, occupancy rates, and costs associated with federal properties must be reported on GSA PBS Region 5.
Fill out your gsa pbs region 5 online with pdfFiller!
pdfFiller is an end-to-end solution for managing, creating, and editing documents and forms in the cloud. Save time and hassle by preparing your tax forms online.
Gsa Pbs Region 5 is not the form you're looking for?Search for another form here.
Relevant keywords
Related Forms
If you believe that this page should be taken down, please follow our DMCA take down process
here
.
This form may include fields for payment information. Data entered in these fields is not covered by PCI DSS compliance.