Get the free Primary Business Name: ANN POLOKO, LLC
Show details
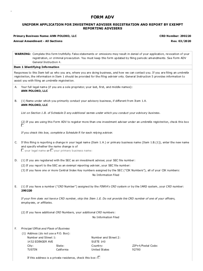
FORM ADV UNIFORM APPLICATION FOR INVESTMENT ADVISER REGISTRATION AND REPORT BY EXEMPT REPORTING ADVISERS Primary Business Name: ANN POLO KO, LLC CRD Number: 290220Annual Amendment All Sections Rev.
We are not affiliated with any brand or entity on this form
Get, Create, Make and Sign primary business name ann
Edit your primary business name ann form online
Type text, complete fillable fields, insert images, highlight or blackout data for discretion, add comments, and more.
Add your legally-binding signature
Draw or type your signature, upload a signature image, or capture it with your digital camera.
Share your form instantly
Email, fax, or share your primary business name ann form via URL. You can also download, print, or export forms to your preferred cloud storage service.
How to edit primary business name ann online
Use the instructions below to start using our professional PDF editor:
1
Create an account. Begin by choosing Start Free Trial and, if you are a new user, establish a profile.
2
Prepare a file. Use the Add New button to start a new project. Then, using your device, upload your file to the system by importing it from internal mail, the cloud, or adding its URL.
3
Edit primary business name ann. Rearrange and rotate pages, add and edit text, and use additional tools. To save changes and return to your Dashboard, click Done. The Documents tab allows you to merge, divide, lock, or unlock files.
4
Get your file. Select your file from the documents list and pick your export method. You may save it as a PDF, email it, or upload it to the cloud.
With pdfFiller, it's always easy to work with documents. Try it out!
Uncompromising security for your PDF editing and eSignature needs
Your private information is safe with pdfFiller. We employ end-to-end encryption, secure cloud storage, and advanced access control to protect your documents and maintain regulatory compliance.
How to fill out primary business name ann
How to fill out primary business name ann
01
Gather all necessary information related to your business, including the legal name of the business.
02
Visit the official website of the relevant authority where you need to register the primary business name.
03
Locate the section for registering business names or entities.
04
Fill out the required fields accurately, providing your legal business name in the designated space.
05
Double-check the information entered for any errors or typos before submitting the form.
06
Submit the form as per the instructions provided on the website.
07
Keep a copy of the submitted form for your records.
Who needs primary business name ann?
01
Individuals or entities looking to register a business name officially need primary business name registration.
02
This is essential for establishing a legal identity for the business and ensuring compliance with regulations.
Fill
form
: Try Risk Free
For pdfFiller’s FAQs
Below is a list of the most common customer questions. If you can’t find an answer to your question, please don’t hesitate to reach out to us.
How do I edit primary business name ann online?
With pdfFiller, you may not only alter the content but also rearrange the pages. Upload your primary business name ann and modify it with a few clicks. The editor lets you add photos, sticky notes, text boxes, and more to PDFs.
How do I edit primary business name ann straight from my smartphone?
Using pdfFiller's mobile-native applications for iOS and Android is the simplest method to edit documents on a mobile device. You may get them from the Apple App Store and Google Play, respectively. More information on the apps may be found here. Install the program and log in to begin editing primary business name ann.
How can I fill out primary business name ann on an iOS device?
Install the pdfFiller iOS app. Log in or create an account to access the solution's editing features. Open your primary business name ann by uploading it from your device or online storage. After filling in all relevant fields and eSigning if required, you may save or distribute the document.
What is primary business name ann?
Primary business name ann is the legal name under which a business operates.
Who is required to file primary business name ann?
All businesses are required to file their primary business name ann with the appropriate government authorities.
How to fill out primary business name ann?
You can fill out the primary business name ann form online or by submitting a paper form with the required information.
What is the purpose of primary business name ann?
The purpose of primary business name ann is to ensure that businesses are operating under a legal and recognized name.
What information must be reported on primary business name ann?
The information required on the primary business name ann form includes the legal name of the business, physical address, and contact information.
Fill out your primary business name ann online with pdfFiller!
pdfFiller is an end-to-end solution for managing, creating, and editing documents and forms in the cloud. Save time and hassle by preparing your tax forms online.
Primary Business Name Ann is not the form you're looking for?Search for another form here.
Relevant keywords
Related Forms
If you believe that this page should be taken down, please follow our DMCA take down process
here
.
This form may include fields for payment information. Data entered in these fields is not covered by PCI DSS compliance.