Get the free Gather the information outlined on the first page of this document for the instituti...
Show details
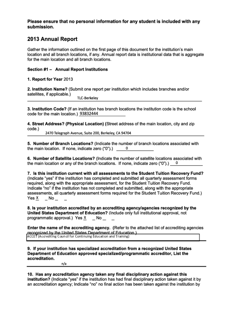
Please ensure that no personal information for any student is included with any submission.2013 Annual Report Gather the information outlined on the first page of this document for the institution\'s
We are not affiliated with any brand or entity on this form
Get, Create, Make and Sign gaformr form information outlined
Edit your gaformr form information outlined form online
Type text, complete fillable fields, insert images, highlight or blackout data for discretion, add comments, and more.
Add your legally-binding signature
Draw or type your signature, upload a signature image, or capture it with your digital camera.
Share your form instantly
Email, fax, or share your gaformr form information outlined form via URL. You can also download, print, or export forms to your preferred cloud storage service.
Editing gaformr form information outlined online
In order to make advantage of the professional PDF editor, follow these steps:
1
Create an account. Begin by choosing Start Free Trial and, if you are a new user, establish a profile.
2
Prepare a file. Use the Add New button to start a new project. Then, using your device, upload your file to the system by importing it from internal mail, the cloud, or adding its URL.
3
Edit gaformr form information outlined. Rearrange and rotate pages, add new and changed texts, add new objects, and use other useful tools. When you're done, click Done. You can use the Documents tab to merge, split, lock, or unlock your files.
4
Get your file. Select your file from the documents list and pick your export method. You may save it as a PDF, email it, or upload it to the cloud.
Dealing with documents is always simple with pdfFiller. Try it right now
Uncompromising security for your PDF editing and eSignature needs
Your private information is safe with pdfFiller. We employ end-to-end encryption, secure cloud storage, and advanced access control to protect your documents and maintain regulatory compliance.
How to fill out gaformr form information outlined
How to fill out gaformr form information outlined
01
Obtain a copy of the gaformr form.
02
Start by entering your personal details such as name, address, and contact information.
03
Proceed to fill out the specific fields required for the form, which may include employment details, medical history, or other relevant information.
04
Double-check all the information provided to ensure accuracy and completeness.
05
Once you have filled out all the necessary sections, sign and date the form as required.
Who needs gaformr form information outlined?
01
Individuals who are required to provide detailed information for a specific purpose such as applying for a job, seeking medical treatment, or participating in a program.
Fill
form
: Try Risk Free
For pdfFiller’s FAQs
Below is a list of the most common customer questions. If you can’t find an answer to your question, please don’t hesitate to reach out to us.
How can I manage my gaformr form information outlined directly from Gmail?
You may use pdfFiller's Gmail add-on to change, fill out, and eSign your gaformr form information outlined as well as other documents directly in your inbox by using the pdfFiller add-on for Gmail. pdfFiller for Gmail may be found on the Google Workspace Marketplace. Use the time you would have spent dealing with your papers and eSignatures for more vital tasks instead.
How do I complete gaformr form information outlined online?
With pdfFiller, you may easily complete and sign gaformr form information outlined online. It lets you modify original PDF material, highlight, blackout, erase, and write text anywhere on a page, legally eSign your document, and do a lot more. Create a free account to handle professional papers online.
How do I make changes in gaformr form information outlined?
The editing procedure is simple with pdfFiller. Open your gaformr form information outlined in the editor, which is quite user-friendly. You may use it to blackout, redact, write, and erase text, add photos, draw arrows and lines, set sticky notes and text boxes, and much more.
What is gaformr form information outlined?
The GAFormR is a reporting form used for specific tax-related information required by the state for residents and businesses. It includes financial details and tax calculations relevant to the taxpayer's situation.
Who is required to file gaformr form information outlined?
Individuals and businesses that meet certain income thresholds or engage in specific taxable activities as defined by state tax regulations are required to file the GAFormR.
How to fill out gaformr form information outlined?
To fill out the GAFormR, taxpayers should collect necessary financial documents, follow the instructions provided with the form carefully, and report their income, deductions, and credits as applicable before submitting the form to the state tax authority.
What is the purpose of gaformr form information outlined?
The GAFormR is designed to ensure accurate reporting of income and tax liabilities, facilitate the calculation of taxes owed or refunds due, and maintain compliance with state tax laws.
What information must be reported on gaformr form information outlined?
Taxpayers must report total income, deductions, credits, and any other financial information as required, which may include details on employment, investments, and other sources of income.
Fill out your gaformr form information outlined online with pdfFiller!
pdfFiller is an end-to-end solution for managing, creating, and editing documents and forms in the cloud. Save time and hassle by preparing your tax forms online.
Gaformr Form Information Outlined is not the form you're looking for?Search for another form here.
Relevant keywords
Related Forms
If you believe that this page should be taken down, please follow our DMCA take down process
here
.
This form may include fields for payment information. Data entered in these fields is not covered by PCI DSS compliance.