Get the free Camp Registration Forms - cloudfront.net
Show details
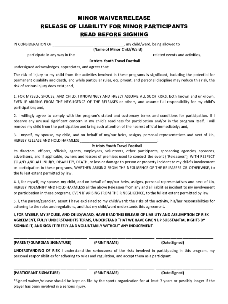
MINOR WAIVER/RELEASE OF LIABILITY FOR MINOR PARTICIPANTS READ BEFORE SIGNING IN CONSIDERATION OF ___, my child/ward, being allowed to (Name of Minor Child/Ward) participate in any way in the ___related
We are not affiliated with any brand or entity on this form
Get, Create, Make and Sign camp registration forms
Edit your camp registration forms form online
Type text, complete fillable fields, insert images, highlight or blackout data for discretion, add comments, and more.
Add your legally-binding signature
Draw or type your signature, upload a signature image, or capture it with your digital camera.
Share your form instantly
Email, fax, or share your camp registration forms form via URL. You can also download, print, or export forms to your preferred cloud storage service.
Editing camp registration forms online
To use our professional PDF editor, follow these steps:
1
Log in to account. Click Start Free Trial and sign up a profile if you don't have one.
2
Prepare a file. Use the Add New button to start a new project. Then, using your device, upload your file to the system by importing it from internal mail, the cloud, or adding its URL.
3
Edit camp registration forms. Rearrange and rotate pages, add new and changed texts, add new objects, and use other useful tools. When you're done, click Done. You can use the Documents tab to merge, split, lock, or unlock your files.
4
Get your file. Select the name of your file in the docs list and choose your preferred exporting method. You can download it as a PDF, save it in another format, send it by email, or transfer it to the cloud.
With pdfFiller, dealing with documents is always straightforward. Try it now!
Uncompromising security for your PDF editing and eSignature needs
Your private information is safe with pdfFiller. We employ end-to-end encryption, secure cloud storage, and advanced access control to protect your documents and maintain regulatory compliance.
How to fill out camp registration forms
How to fill out camp registration forms
01
Obtain a camp registration form from the camp organization.
02
Fill in personal details such as name, address, contact information.
03
Provide emergency contact information.
04
Specify any medical conditions or allergies that the camp should be aware of.
05
Choose the camp session or program you wish to enroll in.
06
Sign and date the form where required.
07
Submit the completed form along with any required payment.
Who needs camp registration forms?
01
Anyone interested in attending a camp organized by the camp organization will need to fill out a camp registration form.
Fill
form
: Try Risk Free
For pdfFiller’s FAQs
Below is a list of the most common customer questions. If you can’t find an answer to your question, please don’t hesitate to reach out to us.
How can I modify camp registration forms without leaving Google Drive?
People who need to keep track of documents and fill out forms quickly can connect PDF Filler to their Google Docs account. This means that they can make, edit, and sign documents right from their Google Drive. Make your camp registration forms into a fillable form that you can manage and sign from any internet-connected device with this add-on.
How can I send camp registration forms to be eSigned by others?
When your camp registration forms is finished, send it to recipients securely and gather eSignatures with pdfFiller. You may email, text, fax, mail, or notarize a PDF straight from your account. Create an account today to test it.
Can I sign the camp registration forms electronically in Chrome?
You can. With pdfFiller, you get a strong e-signature solution built right into your Chrome browser. Using our addon, you may produce a legally enforceable eSignature by typing, sketching, or photographing it. Choose your preferred method and eSign in minutes.
What is camp registration forms?
Camp registration forms are documents used to collect information from individuals who wish to attend a camp or program.
Who is required to file camp registration forms?
Anyone who wants to attend the camp or program may be required to fill out a camp registration form, depending on the camp's policies.
How to fill out camp registration forms?
Camp registration forms typically require individuals to provide personal details such as their name, contact information, emergency contacts, medical information, and any special requests or accommodations.
What is the purpose of camp registration forms?
The purpose of camp registration forms is to collect necessary information to ensure the safety and well-being of participants during the camp or program.
What information must be reported on camp registration forms?
Camp registration forms may require participants to provide information such as medical history, allergies, dietary restrictions, emergency contacts, and consent forms.
Fill out your camp registration forms online with pdfFiller!
pdfFiller is an end-to-end solution for managing, creating, and editing documents and forms in the cloud. Save time and hassle by preparing your tax forms online.
Camp Registration Forms is not the form you're looking for?Search for another form here.
Relevant keywords
Related Forms
If you believe that this page should be taken down, please follow our DMCA take down process
here
.
This form may include fields for payment information. Data entered in these fields is not covered by PCI DSS compliance.