Get the free Civil Rights Your Responsibilities in the School Nutrition ...
Show details
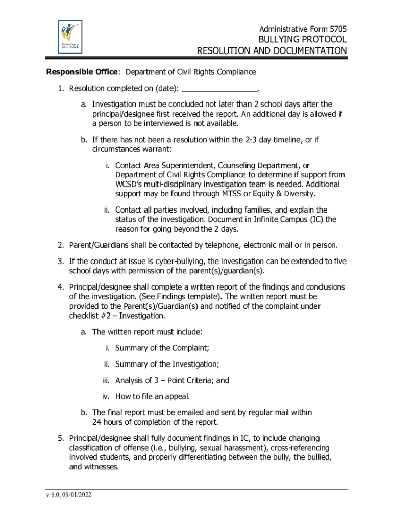
Administrative Form 5705BULLYING PROTOCOL RESOLUTION AND DOCUMENTATION Responsible Office: Department of Civil Rights Compliance 1. Resolution completed on (date): ___. a. Investigation must be concluded
We are not affiliated with any brand or entity on this form
Get, Create, Make and Sign civil rights your responsibilities
Edit your civil rights your responsibilities form online
Type text, complete fillable fields, insert images, highlight or blackout data for discretion, add comments, and more.
Add your legally-binding signature
Draw or type your signature, upload a signature image, or capture it with your digital camera.
Share your form instantly
Email, fax, or share your civil rights your responsibilities form via URL. You can also download, print, or export forms to your preferred cloud storage service.
Editing civil rights your responsibilities online
Here are the steps you need to follow to get started with our professional PDF editor:
1
Register the account. Begin by clicking Start Free Trial and create a profile if you are a new user.
2
Upload a file. Select Add New on your Dashboard and upload a file from your device or import it from the cloud, online, or internal mail. Then click Edit.
3
Edit civil rights your responsibilities. Rearrange and rotate pages, add new and changed texts, add new objects, and use other useful tools. When you're done, click Done. You can use the Documents tab to merge, split, lock, or unlock your files.
4
Get your file. Select your file from the documents list and pick your export method. You may save it as a PDF, email it, or upload it to the cloud.
Dealing with documents is always simple with pdfFiller.
Uncompromising security for your PDF editing and eSignature needs
Your private information is safe with pdfFiller. We employ end-to-end encryption, secure cloud storage, and advanced access control to protect your documents and maintain regulatory compliance.
How to fill out civil rights your responsibilities
How to fill out civil rights your responsibilities
01
Understand what civil rights are and why they are important.
02
Be aware of your own biases and stereotypes.
03
Educate yourself on the laws that protect civil rights.
04
Treat everyone with respect and dignity.
05
Stand up against discrimination and injustice.
Who needs civil rights your responsibilities?
01
Everyone who values equality, fairness, and justice needs to uphold civil rights responsibilities.
Fill
form
: Try Risk Free
For pdfFiller’s FAQs
Below is a list of the most common customer questions. If you can’t find an answer to your question, please don’t hesitate to reach out to us.
How can I manage my civil rights your responsibilities directly from Gmail?
You can use pdfFiller’s add-on for Gmail in order to modify, fill out, and eSign your civil rights your responsibilities along with other documents right in your inbox. Find pdfFiller for Gmail in Google Workspace Marketplace. Use time you spend on handling your documents and eSignatures for more important things.
Where do I find civil rights your responsibilities?
The premium subscription for pdfFiller provides you with access to an extensive library of fillable forms (over 25M fillable templates) that you can download, fill out, print, and sign. You won’t have any trouble finding state-specific civil rights your responsibilities and other forms in the library. Find the template you need and customize it using advanced editing functionalities.
How do I fill out civil rights your responsibilities on an Android device?
Use the pdfFiller mobile app and complete your civil rights your responsibilities and other documents on your Android device. The app provides you with all essential document management features, such as editing content, eSigning, annotating, sharing files, etc. You will have access to your documents at any time, as long as there is an internet connection.
What is civil rights your responsibilities?
Civil rights responsibilities refer to the obligations that individuals and organizations have to ensure that all people are treated fairly and equally under the law.
Who is required to file civil rights your responsibilities?
Any individual or organization that operates in a public space or provides goods and services to the public is required to uphold civil rights responsibilities.
How to fill out civil rights your responsibilities?
To fill out civil rights responsibilities, individuals and organizations must review the laws and regulations that govern civil rights and ensure that they are in compliance with them.
What is the purpose of civil rights your responsibilities?
The purpose of civil rights responsibilities is to protect the rights of all individuals and ensure that discrimination and injustice are not tolerated.
What information must be reported on civil rights your responsibilities?
Information that must be reported on civil rights responsibilities includes details of any policies or practices that promote equality and fairness, as well as any instances of discrimination that have been addressed.
Fill out your civil rights your responsibilities online with pdfFiller!
pdfFiller is an end-to-end solution for managing, creating, and editing documents and forms in the cloud. Save time and hassle by preparing your tax forms online.
Civil Rights Your Responsibilities is not the form you're looking for?Search for another form here.
Relevant keywords
Related Forms
If you believe that this page should be taken down, please follow our DMCA take down process
here
.
This form may include fields for payment information. Data entered in these fields is not covered by PCI DSS compliance.