Get the free Special Local Peace Officer (SLPO) - Application Form
Show details
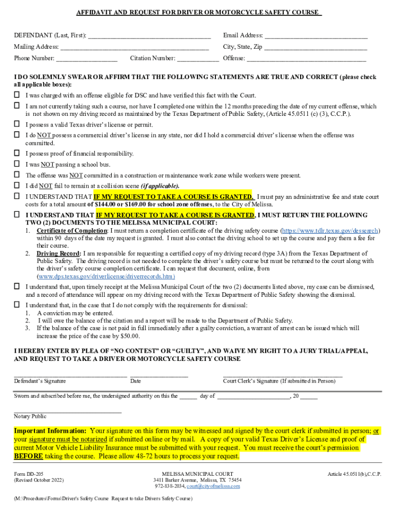
AFFIDAVIT AND REQUEST FOR DRIVER OR MOTORCYCLE SAFETY COURSE DEFENDANT (Last, First): ___Email Address: ___Mailing Address: ___City, State, Zip ___Phone Number: ___Citation Number: ___ Offense: ___I
We are not affiliated with any brand or entity on this form
Get, Create, Make and Sign special local peace officer
Edit your special local peace officer form online
Type text, complete fillable fields, insert images, highlight or blackout data for discretion, add comments, and more.
Add your legally-binding signature
Draw or type your signature, upload a signature image, or capture it with your digital camera.
Share your form instantly
Email, fax, or share your special local peace officer form via URL. You can also download, print, or export forms to your preferred cloud storage service.
Editing special local peace officer online
Follow the guidelines below to use a professional PDF editor:
1
Set up an account. If you are a new user, click Start Free Trial and establish a profile.
2
Upload a document. Select Add New on your Dashboard and transfer a file into the system in one of the following ways: by uploading it from your device or importing from the cloud, web, or internal mail. Then, click Start editing.
3
Edit special local peace officer. Add and replace text, insert new objects, rearrange pages, add watermarks and page numbers, and more. Click Done when you are finished editing and go to the Documents tab to merge, split, lock or unlock the file.
4
Save your file. Choose it from the list of records. Then, shift the pointer to the right toolbar and select one of the several exporting methods: save it in multiple formats, download it as a PDF, email it, or save it to the cloud.
With pdfFiller, dealing with documents is always straightforward.
Uncompromising security for your PDF editing and eSignature needs
Your private information is safe with pdfFiller. We employ end-to-end encryption, secure cloud storage, and advanced access control to protect your documents and maintain regulatory compliance.
How to fill out special local peace officer
How to fill out special local peace officer
01
Obtain the necessary application form for the special local peace officer position.
02
Fill out all required fields on the application form, including personal information, experience, and qualifications.
03
Provide any supporting documents or certifications that may be required for the position.
04
Submit the completed application form and supporting documents to the appropriate department or agency.
05
Wait for further instructions or notifications regarding the application process.
Who needs special local peace officer?
01
Special local peace officers are needed by local law enforcement agencies, municipalities, or other government entities that require additional security or protective services within their jurisdiction.
Fill
form
: Try Risk Free
For pdfFiller’s FAQs
Below is a list of the most common customer questions. If you can’t find an answer to your question, please don’t hesitate to reach out to us.
How do I edit special local peace officer in Chrome?
Add pdfFiller Google Chrome Extension to your web browser to start editing special local peace officer and other documents directly from a Google search page. The service allows you to make changes in your documents when viewing them in Chrome. Create fillable documents and edit existing PDFs from any internet-connected device with pdfFiller.
Can I create an electronic signature for signing my special local peace officer in Gmail?
Create your eSignature using pdfFiller and then eSign your special local peace officer immediately from your email with pdfFiller's Gmail add-on. To keep your signatures and signed papers, you must create an account.
How do I fill out the special local peace officer form on my smartphone?
The pdfFiller mobile app makes it simple to design and fill out legal paperwork. Complete and sign special local peace officer and other papers using the app. Visit pdfFiller's website to learn more about the PDF editor's features.
What is special local peace officer?
A special local peace officer is a law enforcement officer who has jurisdiction limited to a specific area, such as a college campus or public transportation system.
Who is required to file special local peace officer?
Special local peace officers are typically employed by city police departments, county sheriff's offices, or other law enforcement agencies that have designated them as such.
How to fill out special local peace officer?
To fill out a special local peace officer form, individuals must provide personal information, employment details, and any relevant law enforcement certifications.
What is the purpose of special local peace officer?
The purpose of special local peace officers is to provide additional security and law enforcement services within a specific jurisdiction.
What information must be reported on special local peace officer?
Information that must be reported on a special local peace officer form typically includes the officer's name, badge number, department, and contact information.
Fill out your special local peace officer online with pdfFiller!
pdfFiller is an end-to-end solution for managing, creating, and editing documents and forms in the cloud. Save time and hassle by preparing your tax forms online.
Special Local Peace Officer is not the form you're looking for?Search for another form here.
Relevant keywords
Related Forms
If you believe that this page should be taken down, please follow our DMCA take down process
here
.
This form may include fields for payment information. Data entered in these fields is not covered by PCI DSS compliance.