Get the free Technical Guidance for Military Munitions Response Actions
Show details
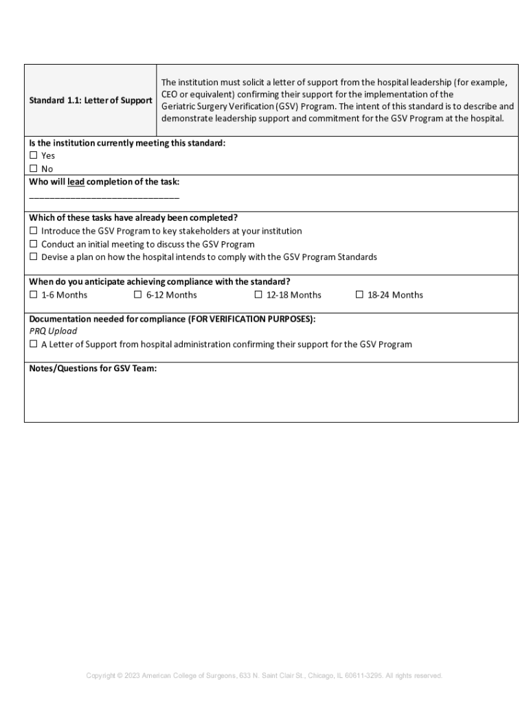
PSV Gap Analysis: Implementation Guide & Course Before you begin implementing the PSV Program at your hospital, we recommend that you perform a gap analysis to determine what state your hospital is
We are not affiliated with any brand or entity on this form
Get, Create, Make and Sign technical guidance for military
Edit your technical guidance for military form online
Type text, complete fillable fields, insert images, highlight or blackout data for discretion, add comments, and more.
Add your legally-binding signature
Draw or type your signature, upload a signature image, or capture it with your digital camera.
Share your form instantly
Email, fax, or share your technical guidance for military form via URL. You can also download, print, or export forms to your preferred cloud storage service.
How to edit technical guidance for military online
Use the instructions below to start using our professional PDF editor:
1
Log in. Click Start Free Trial and create a profile if necessary.
2
Upload a document. Select Add New on your Dashboard and transfer a file into the system in one of the following ways: by uploading it from your device or importing from the cloud, web, or internal mail. Then, click Start editing.
3
Edit technical guidance for military. Rearrange and rotate pages, add new and changed texts, add new objects, and use other useful tools. When you're done, click Done. You can use the Documents tab to merge, split, lock, or unlock your files.
4
Get your file. Select your file from the documents list and pick your export method. You may save it as a PDF, email it, or upload it to the cloud.
pdfFiller makes working with documents easier than you could ever imagine. Register for an account and see for yourself!
Uncompromising security for your PDF editing and eSignature needs
Your private information is safe with pdfFiller. We employ end-to-end encryption, secure cloud storage, and advanced access control to protect your documents and maintain regulatory compliance.
How to fill out technical guidance for military
How to fill out technical guidance for military
01
Gather all relevant information and documents needed to complete the technical guidance for military
02
Start by identifying the purpose and target audience of the guidance
03
Outline the key sections and topics that need to be covered in the guidance
04
Provide detailed step-by-step instructions on how to carry out specific military tasks or procedures
05
Include any necessary safety precautions and risk assessments
06
Review and revise the guidance document to ensure accuracy and clarity before finalizing
Who needs technical guidance for military?
01
Military personnel involved in planning, executing, and overseeing military operations
02
Training instructors responsible for educating military personnel on technical procedures
03
Defense contractors and suppliers who need to comply with military technical standards
04
Military analysts and researchers studying military tactics and strategies
Fill
form
: Try Risk Free
For pdfFiller’s FAQs
Below is a list of the most common customer questions. If you can’t find an answer to your question, please don’t hesitate to reach out to us.
How do I execute technical guidance for military online?
Completing and signing technical guidance for military online is easy with pdfFiller. It enables you to edit original PDF content, highlight, blackout, erase and type text anywhere on a page, legally eSign your form, and much more. Create your free account and manage professional documents on the web.
How do I make changes in technical guidance for military?
pdfFiller not only allows you to edit the content of your files but fully rearrange them by changing the number and sequence of pages. Upload your technical guidance for military to the editor and make any required adjustments in a couple of clicks. The editor enables you to blackout, type, and erase text in PDFs, add images, sticky notes and text boxes, and much more.
How do I fill out the technical guidance for military form on my smartphone?
The pdfFiller mobile app makes it simple to design and fill out legal paperwork. Complete and sign technical guidance for military and other papers using the app. Visit pdfFiller's website to learn more about the PDF editor's features.
What is technical guidance for military?
Technical guidance for military is a document outlining the procedures, protocols, and standards to be followed by military personnel in their operations and decision-making processes.
Who is required to file technical guidance for military?
Military leadership and commanders are typically responsible for creating and filing technical guidance for military.
How to fill out technical guidance for military?
Technical guidance for military is usually filled out by detailing specific instructions, rules, and regulations that need to be followed by military personnel.
What is the purpose of technical guidance for military?
The purpose of technical guidance for military is to ensure uniformity, efficiency, and effectiveness in military operations and decision-making processes.
What information must be reported on technical guidance for military?
Technical guidance for military must include procedures, protocols, standards, and any updates or changes in the military's strategies or tactics.
Fill out your technical guidance for military online with pdfFiller!
pdfFiller is an end-to-end solution for managing, creating, and editing documents and forms in the cloud. Save time and hassle by preparing your tax forms online.
Technical Guidance For Military is not the form you're looking for?Search for another form here.
Relevant keywords
Related Forms
If you believe that this page should be taken down, please follow our DMCA take down process
here
.
This form may include fields for payment information. Data entered in these fields is not covered by PCI DSS compliance.