Get the free Montana State Library commissioners approve updated logo
Show details
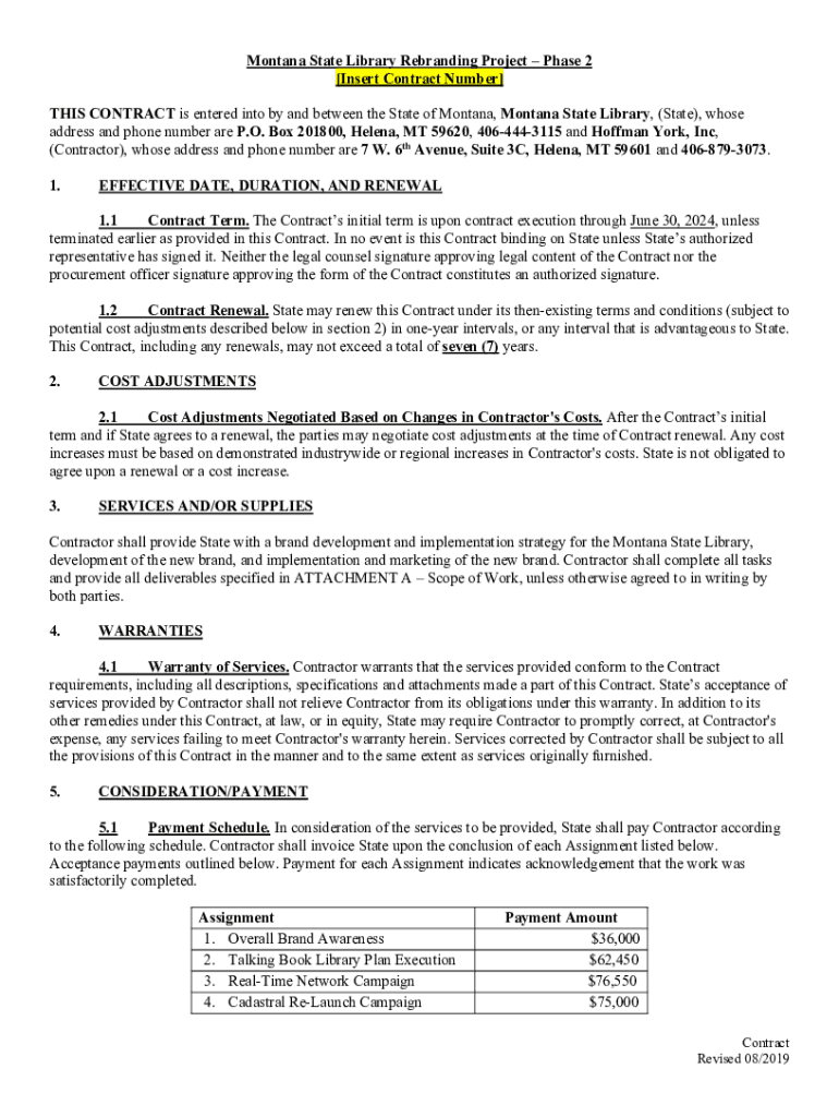
Montana State Library Rebranding Project Phase 2 [Insert Contract Number] THIS CONTRACT is entered into by and between the State of Montana, Montana State Library, (State), whose address and phone
We are not affiliated with any brand or entity on this form
Get, Create, Make and Sign montana state library commissioners
Edit your montana state library commissioners form online
Type text, complete fillable fields, insert images, highlight or blackout data for discretion, add comments, and more.
Add your legally-binding signature
Draw or type your signature, upload a signature image, or capture it with your digital camera.
Share your form instantly
Email, fax, or share your montana state library commissioners form via URL. You can also download, print, or export forms to your preferred cloud storage service.
Editing montana state library commissioners online
Here are the steps you need to follow to get started with our professional PDF editor:
1
Sign into your account. If you don't have a profile yet, click Start Free Trial and sign up for one.
2
Upload a file. Select Add New on your Dashboard and upload a file from your device or import it from the cloud, online, or internal mail. Then click Edit.
3
Edit montana state library commissioners. Replace text, adding objects, rearranging pages, and more. Then select the Documents tab to combine, divide, lock or unlock the file.
4
Save your file. Select it in the list of your records. Then, move the cursor to the right toolbar and choose one of the available exporting methods: save it in multiple formats, download it as a PDF, send it by email, or store it in the cloud.
Uncompromising security for your PDF editing and eSignature needs
Your private information is safe with pdfFiller. We employ end-to-end encryption, secure cloud storage, and advanced access control to protect your documents and maintain regulatory compliance.
How to fill out montana state library commissioners
How to fill out montana state library commissioners
01
Access the Montana State Library website
02
Locate the section for the library commissioners
03
Fill out the required information such as name, contact details, qualifications, and any other requested information
04
Submit the completed form either online or by mail as per the instructions provided
Who needs montana state library commissioners?
01
Montana State Library commissioners are needed by the state government to provide leadership and oversight for the state library system.
02
These commissioners are responsible for making decisions and setting policies that impact the operation of libraries throughout the state.
Fill
form
: Try Risk Free
For pdfFiller’s FAQs
Below is a list of the most common customer questions. If you can’t find an answer to your question, please don’t hesitate to reach out to us.
How do I make edits in montana state library commissioners without leaving Chrome?
Get and add pdfFiller Google Chrome Extension to your browser to edit, fill out and eSign your montana state library commissioners, which you can open in the editor directly from a Google search page in just one click. Execute your fillable documents from any internet-connected device without leaving Chrome.
Can I edit montana state library commissioners on an Android device?
The pdfFiller app for Android allows you to edit PDF files like montana state library commissioners. Mobile document editing, signing, and sending. Install the app to ease document management anywhere.
How do I fill out montana state library commissioners on an Android device?
Complete montana state library commissioners and other documents on your Android device with the pdfFiller app. The software allows you to modify information, eSign, annotate, and share files. You may view your papers from anywhere with an internet connection.
What is montana state library commissioners?
Montana State Library Commissioners oversees the policies and operations of state library services in Montana.
Who is required to file montana state library commissioners?
Libraries and library systems in Montana are required to file the state library commissioners report.
How to fill out montana state library commissioners?
To fill out the montana state library commissioners report, libraries need to provide information about their programs, services, and funding sources.
What is the purpose of montana state library commissioners?
The purpose of montana state library commissioners is to monitor and improve library services throughout the state.
What information must be reported on montana state library commissioners?
Libraries must report on their collections, circulation statistics, staffing, budgets, and community outreach efforts.
Fill out your montana state library commissioners online with pdfFiller!
pdfFiller is an end-to-end solution for managing, creating, and editing documents and forms in the cloud. Save time and hassle by preparing your tax forms online.
Montana State Library Commissioners is not the form you're looking for?Search for another form here.
Relevant keywords
Related Forms
If you believe that this page should be taken down, please follow our DMCA take down process
here
.
This form may include fields for payment information. Data entered in these fields is not covered by PCI DSS compliance.