Get the free Reiki Treatment Form
Show details
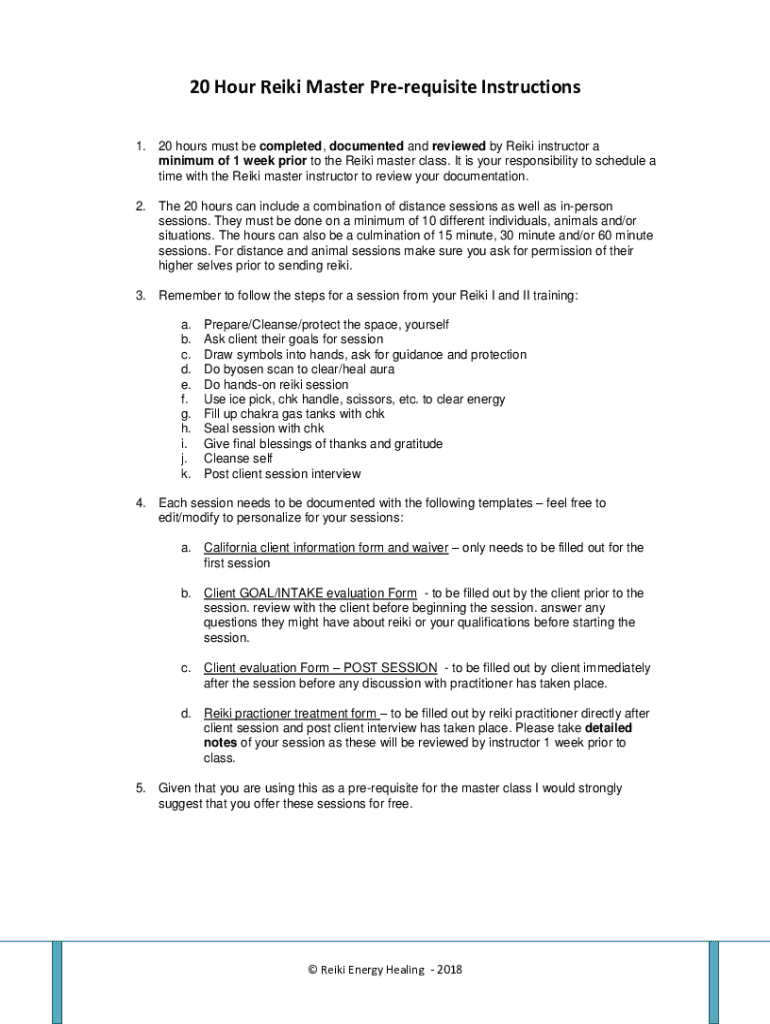
20 Hour Reiki Master Prerequisite Instructions 1. 20 hours must be completed, documented and reviewed by Reiki instructor a minimum of 1 week prior to the Reiki master class. It is your responsibility
We are not affiliated with any brand or entity on this form
Get, Create, Make and Sign reiki treatment form
Edit your reiki treatment form form online
Type text, complete fillable fields, insert images, highlight or blackout data for discretion, add comments, and more.
Add your legally-binding signature
Draw or type your signature, upload a signature image, or capture it with your digital camera.
Share your form instantly
Email, fax, or share your reiki treatment form form via URL. You can also download, print, or export forms to your preferred cloud storage service.
How to edit reiki treatment form online
To use the professional PDF editor, follow these steps below:
1
Check your account. If you don't have a profile yet, click Start Free Trial and sign up for one.
2
Simply add a document. Select Add New from your Dashboard and import a file into the system by uploading it from your device or importing it via the cloud, online, or internal mail. Then click Begin editing.
3
Edit reiki treatment form. Rearrange and rotate pages, insert new and alter existing texts, add new objects, and take advantage of other helpful tools. Click Done to apply changes and return to your Dashboard. Go to the Documents tab to access merging, splitting, locking, or unlocking functions.
4
Get your file. When you find your file in the docs list, click on its name and choose how you want to save it. To get the PDF, you can save it, send an email with it, or move it to the cloud.
pdfFiller makes working with documents easier than you could ever imagine. Register for an account and see for yourself!
Uncompromising security for your PDF editing and eSignature needs
Your private information is safe with pdfFiller. We employ end-to-end encryption, secure cloud storage, and advanced access control to protect your documents and maintain regulatory compliance.
How to fill out reiki treatment form
How to fill out reiki treatment form
01
Begin by filling out personal information such as name, contact information, and date.
02
Specify any health conditions or concerns that you would like the practitioner to be aware of.
03
Detail any specific areas of the body or emotions you would like the practitioner to focus on during the treatment.
04
Sign and date the form to indicate your consent for the reiki treatment.
Who needs reiki treatment form?
01
Anyone seeking a reiki treatment session from a practitioner will need to fill out a reiki treatment form.
Fill
form
: Try Risk Free
For pdfFiller’s FAQs
Below is a list of the most common customer questions. If you can’t find an answer to your question, please don’t hesitate to reach out to us.
How do I modify my reiki treatment form in Gmail?
You may use pdfFiller's Gmail add-on to change, fill out, and eSign your reiki treatment form as well as other documents directly in your inbox by using the pdfFiller add-on for Gmail. pdfFiller for Gmail may be found on the Google Workspace Marketplace. Use the time you would have spent dealing with your papers and eSignatures for more vital tasks instead.
How can I send reiki treatment form to be eSigned by others?
When your reiki treatment form is finished, send it to recipients securely and gather eSignatures with pdfFiller. You may email, text, fax, mail, or notarize a PDF straight from your account. Create an account today to test it.
Can I create an electronic signature for signing my reiki treatment form in Gmail?
You may quickly make your eSignature using pdfFiller and then eSign your reiki treatment form right from your mailbox using pdfFiller's Gmail add-on. Please keep in mind that in order to preserve your signatures and signed papers, you must first create an account.
What is reiki treatment form?
Reiki treatment form is a document used to record information about a reiki session, including details about the client, the practitioner, and the treatment provided.
Who is required to file reiki treatment form?
Reiki practitioners are required to file reiki treatment forms after each session.
How to fill out reiki treatment form?
To fill out a reiki treatment form, the practitioner must document details such as client's name, date of session, treatment provided, and any relevant notes.
What is the purpose of reiki treatment form?
The purpose of reiki treatment form is to keep a record of reiki sessions, track client progress, and maintain accountability.
What information must be reported on reiki treatment form?
Information such as client's personal details, date of session, treatment provided, and any observations or recommendations must be reported on reiki treatment form.
Fill out your reiki treatment form online with pdfFiller!
pdfFiller is an end-to-end solution for managing, creating, and editing documents and forms in the cloud. Save time and hassle by preparing your tax forms online.
Reiki Treatment Form is not the form you're looking for?Search for another form here.
Relevant keywords
Related Forms
If you believe that this page should be taken down, please follow our DMCA take down process
here
.
This form may include fields for payment information. Data entered in these fields is not covered by PCI DSS compliance.