Get the free Instructions for Required Content: Public Service Letter
Show details
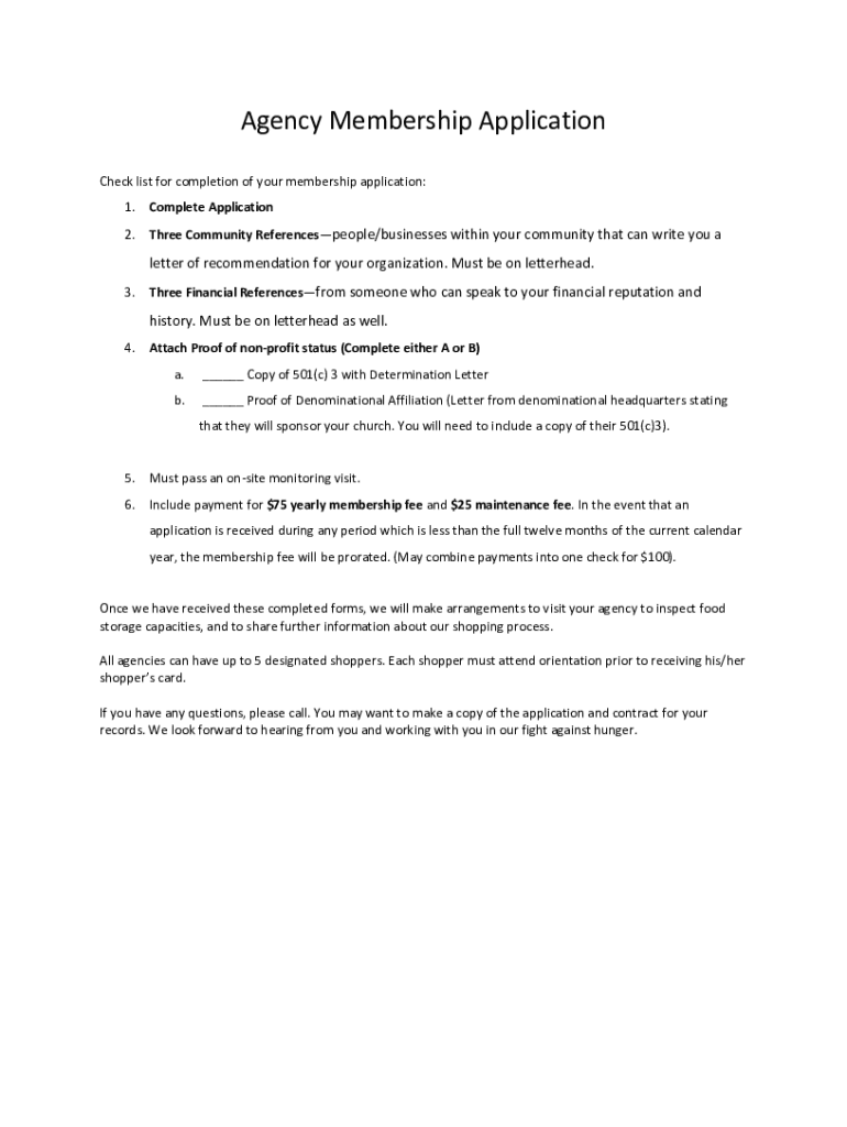
Agency Membership Application Check list for completion of your membership application: 1. Complete Application2. Three Community References people/businesses within your community that can write
We are not affiliated with any brand or entity on this form
Get, Create, Make and Sign instructions for required content
Edit your instructions for required content form online
Type text, complete fillable fields, insert images, highlight or blackout data for discretion, add comments, and more.
Add your legally-binding signature
Draw or type your signature, upload a signature image, or capture it with your digital camera.
Share your form instantly
Email, fax, or share your instructions for required content form via URL. You can also download, print, or export forms to your preferred cloud storage service.
How to edit instructions for required content online
Here are the steps you need to follow to get started with our professional PDF editor:
1
Set up an account. If you are a new user, click Start Free Trial and establish a profile.
2
Prepare a file. Use the Add New button. Then upload your file to the system from your device, importing it from internal mail, the cloud, or by adding its URL.
3
Edit instructions for required content. Rearrange and rotate pages, add and edit text, and use additional tools. To save changes and return to your Dashboard, click Done. The Documents tab allows you to merge, divide, lock, or unlock files.
4
Get your file. Select your file from the documents list and pick your export method. You may save it as a PDF, email it, or upload it to the cloud.
Uncompromising security for your PDF editing and eSignature needs
Your private information is safe with pdfFiller. We employ end-to-end encryption, secure cloud storage, and advanced access control to protect your documents and maintain regulatory compliance.
How to fill out instructions for required content
How to fill out instructions for required content
01
Read the instructions carefully to understand what content is required.
02
Gather all the necessary information or materials needed to complete the content.
03
Organize the content in a clear and logical manner according to the instructions.
04
Double check the content to ensure all requirements are met before submission.
Who needs instructions for required content?
01
Anyone who is tasked with creating or providing content for a specific purpose or project.
02
Students working on assignments or projects, professionals creating reports or presentations, and individuals filling out forms or applications may all need instructions for required content.
Fill
form
: Try Risk Free
For pdfFiller’s FAQs
Below is a list of the most common customer questions. If you can’t find an answer to your question, please don’t hesitate to reach out to us.
How can I send instructions for required content for eSignature?
Once your instructions for required content is complete, you can securely share it with recipients and gather eSignatures with pdfFiller in just a few clicks. You may transmit a PDF by email, text message, fax, USPS mail, or online notarization directly from your account. Make an account right now and give it a go.
How do I execute instructions for required content online?
pdfFiller has made it easy to fill out and sign instructions for required content. You can use the solution to change and move PDF content, add fields that can be filled in, and sign the document electronically. Start a free trial of pdfFiller, the best tool for editing and filling in documents.
Can I create an eSignature for the instructions for required content in Gmail?
You can easily create your eSignature with pdfFiller and then eSign your instructions for required content directly from your inbox with the help of pdfFiller’s add-on for Gmail. Please note that you must register for an account in order to save your signatures and signed documents.
What is instructions for required content?
Instructions for required content are guidelines or specifications that outline the necessary information or materials that must be included or reported.
Who is required to file instructions for required content?
The entity or individual responsible for providing the required content is typically required to file instructions for required content.
How to fill out instructions for required content?
Instructions for required content can usually be filled out by completing a form or document provided by the relevant authority or organization.
What is the purpose of instructions for required content?
The purpose of instructions for required content is to ensure that specific information or materials are included or reported accurately and in a timely manner.
What information must be reported on instructions for required content?
The specific information or materials that must be reported on instructions for required content will vary depending on the requirements set forth by the relevant authority or organization.
Fill out your instructions for required content online with pdfFiller!
pdfFiller is an end-to-end solution for managing, creating, and editing documents and forms in the cloud. Save time and hassle by preparing your tax forms online.
Instructions For Required Content is not the form you're looking for?Search for another form here.
Relevant keywords
Related Forms
If you believe that this page should be taken down, please follow our DMCA take down process
here
.
This form may include fields for payment information. Data entered in these fields is not covered by PCI DSS compliance.