Form preview

Get the free Section C: IRs Related to the Standards of Accreditation for ...

Get Form
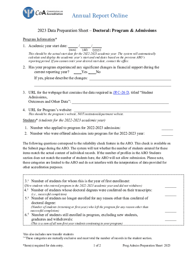
Annual Report Online 2023 Data Preparation Sheet Doctoral: Program & Admissions Program Information* 1. Academic year start date: ___ / ___ /___(mm) (dd) (YYY) This should be the actual start date
We are not affiliated with any brand or entity on this form

Get, Create, Make and Sign section c irs related

Edit
Edit your section c irs related form online
Type text, complete fillable fields, insert images, highlight or blackout data for discretion, add comments, and more.
Add
Add your legally-binding signature
Draw or type your signature, upload a signature image, or capture it with your digital camera.
Share
Share your form instantly
Email, fax, or share your section c irs related form via URL. You can also download, print, or export forms to your preferred cloud storage service.

How to edit section c irs related online

9.5
Ease of Setup
pdfFiller User Ratings on G2
9.0
Ease of Use
pdfFiller User Ratings on G2
To use the professional PDF editor, follow these steps:
1
Log in to your account. Start Free Trial and sign up a profile if you don't have one.
2
Upload a file. Select Add New on your Dashboard and upload a file from your device or import it from the cloud, online, or internal mail. Then click Edit.
3
Edit section c irs related. Rearrange and rotate pages, add new and changed texts, add new objects, and use other useful tools. When you're done, click Done. You can use the Documents tab to merge, split, lock, or unlock your files.
4
Get your file. When you find your file in the docs list, click on its name and choose how you want to save it. To get the PDF, you can save it, send an email with it, or move it to the cloud.
Dealing with documents is simple using pdfFiller. Try it now!

Uncompromising security for your PDF editing and eSignature needs

Your private information is safe with pdfFiller. We employ end-to-end encryption, secure cloud storage, and advanced access control to protect your documents and maintain regulatory compliance.
GDPR
AICPA SOC 2
PCI
HIPAA
CCPA
FDA

How to fill out section c irs related

Illustration

How to fill out section c irs related

01
Gather all necessary information and forms related to your income tax return.
02
Locate Section C on the IRS form you are filling out.
03
Carefully read the instructions for Section C to understand what information is required.
04
Fill out each line or box in Section C with the relevant information as instructed.
05
Double-check all the information filled in Section C for accuracy and completeness.
06
Submit the completed form with Section C filled out as part of your income tax return.

Who needs section c irs related?

01
Individuals filing income tax returns
02
Businesses or self-employed individuals reporting income and expenses
03
Organizations or entities required to disclose certain financial information to the IRS
Fill form : Try Risk Free
Users Most Likely To Recommend - Summer 2025
Grid Leader in Small-Business - Summer 2025
High Performer - Summer 2025
Regional Leader - Summer 2025
Easiest To Do Business With - Summer 2025
Best Meets Requirements- Summer 2025
Rate the form
4.5
Satisfied
48 Votes

For pdfFiller’s FAQs

Below is a list of the most common customer questions. If you can’t find an answer to your question, please don’t hesitate to reach out to us.

It's simple with pdfFiller, a full online document management tool. Access our huge online form collection (over 25M fillable forms are accessible) and find the section c irs related in seconds. Open it immediately and begin modifying it with powerful editing options.
Completing and signing section c irs related online is easy with pdfFiller. It enables you to edit original PDF content, highlight, blackout, erase and type text anywhere on a page, legally eSign your form, and much more. Create your free account and manage professional documents on the web.
With pdfFiller, you may not only alter the content but also rearrange the pages. Upload your section c irs related and modify it with a few clicks. The editor lets you add photos, sticky notes, text boxes, and more to PDFs.
Section C of the IRS Form 1040 is related to income or loss from business activities.
Individuals who have income or loss from business activities are required to file Section C of the IRS Form 1040.
To fill out Section C of the IRS Form 1040, you will need to report your income or loss from business activities, including any related expenses.
The purpose of Section C of the IRS Form 1040 is to report income or loss from business activities to determine taxable income.
On Section C of the IRS Form 1040, you must report your income or loss from business activities, as well as any related expenses.
Fill out your section c irs related online with pdfFiller!

pdfFiller is an end-to-end solution for managing, creating, and editing documents and forms in the cloud. Save time and hassle by preparing your tax forms online.

Get started now
Form preview
If you believe that this page should be taken down, please follow our DMCA take down process here .
This form may include fields for payment information. Data entered in these fields is not covered by PCI DSS compliance.