Get the free New York State Education Department Laws & Guidance
Show details
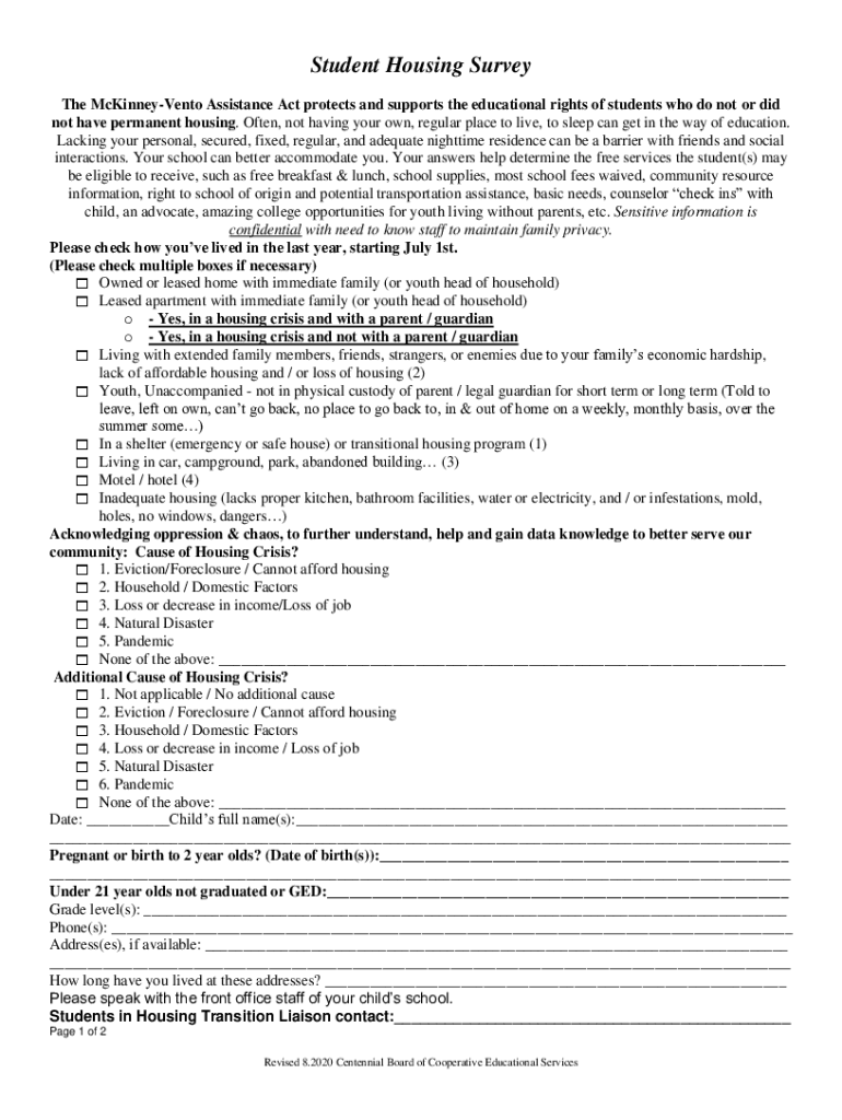
Student Housing Survey The McKinneyVento Assistance Act protects and supports the educational rights of students who do not or did not have permanent housing. Often, not having your own, regular place
We are not affiliated with any brand or entity on this form
Get, Create, Make and Sign new york state education
Edit your new york state education form online
Type text, complete fillable fields, insert images, highlight or blackout data for discretion, add comments, and more.
Add your legally-binding signature
Draw or type your signature, upload a signature image, or capture it with your digital camera.
Share your form instantly
Email, fax, or share your new york state education form via URL. You can also download, print, or export forms to your preferred cloud storage service.
How to edit new york state education online
Use the instructions below to start using our professional PDF editor:
1
Set up an account. If you are a new user, click Start Free Trial and establish a profile.
2
Upload a file. Select Add New on your Dashboard and upload a file from your device or import it from the cloud, online, or internal mail. Then click Edit.
3
Edit new york state education. Rearrange and rotate pages, add and edit text, and use additional tools. To save changes and return to your Dashboard, click Done. The Documents tab allows you to merge, divide, lock, or unlock files.
4
Get your file. Select your file from the documents list and pick your export method. You may save it as a PDF, email it, or upload it to the cloud.
With pdfFiller, it's always easy to work with documents.
Uncompromising security for your PDF editing and eSignature needs
Your private information is safe with pdfFiller. We employ end-to-end encryption, secure cloud storage, and advanced access control to protect your documents and maintain regulatory compliance.
How to fill out new york state education
How to fill out new york state education
01
Visit the official New York State Education Department website
02
Locate the section for filling out the required forms
03
Download the necessary forms or fill them out online
04
Provide all necessary personal information
05
Submit the completed forms as directed
Who needs new york state education?
01
Students residing in New York State
02
Parents or guardians of students in New York State
03
Educational institutions in New York State
04
Employers requiring proof of education in New York State
Fill
form
: Try Risk Free
For pdfFiller’s FAQs
Below is a list of the most common customer questions. If you can’t find an answer to your question, please don’t hesitate to reach out to us.
How can I manage my new york state education directly from Gmail?
new york state education and other documents can be changed, filled out, and signed right in your Gmail inbox. You can use pdfFiller's add-on to do this, as well as other things. When you go to Google Workspace, you can find pdfFiller for Gmail. You should use the time you spend dealing with your documents and eSignatures for more important things, like going to the gym or going to the dentist.
How do I execute new york state education online?
With pdfFiller, you may easily complete and sign new york state education online. It lets you modify original PDF material, highlight, blackout, erase, and write text anywhere on a page, legally eSign your document, and do a lot more. Create a free account to handle professional papers online.
Can I edit new york state education on an iOS device?
You certainly can. You can quickly edit, distribute, and sign new york state education on your iOS device with the pdfFiller mobile app. Purchase it from the Apple Store and install it in seconds. The program is free, but in order to purchase a subscription or activate a free trial, you must first establish an account.
What is new york state education?
The New York State Education Department oversees education in the state of New York.
Who is required to file new york state education?
All schools and educational institutions in New York State are required to file education reports.
How to fill out new york state education?
Schools can file education reports online through the New York State Education Department's website or by mailing in the required forms.
What is the purpose of new york state education?
The purpose of New York State education reports is to track and monitor the performance and progress of schools and students.
What information must be reported on new york state education?
Information such as student enrollment numbers, test scores, graduation rates, and funding sources must be reported on New York State education reports.
Fill out your new york state education online with pdfFiller!
pdfFiller is an end-to-end solution for managing, creating, and editing documents and forms in the cloud. Save time and hassle by preparing your tax forms online.
New York State Education is not the form you're looking for?Search for another form here.
Relevant keywords
Related Forms
If you believe that this page should be taken down, please follow our DMCA take down process
here
.
This form may include fields for payment information. Data entered in these fields is not covered by PCI DSS compliance.