
Get the free What is an Organizational Conflict of Interest (OCI) and How ...
Show details
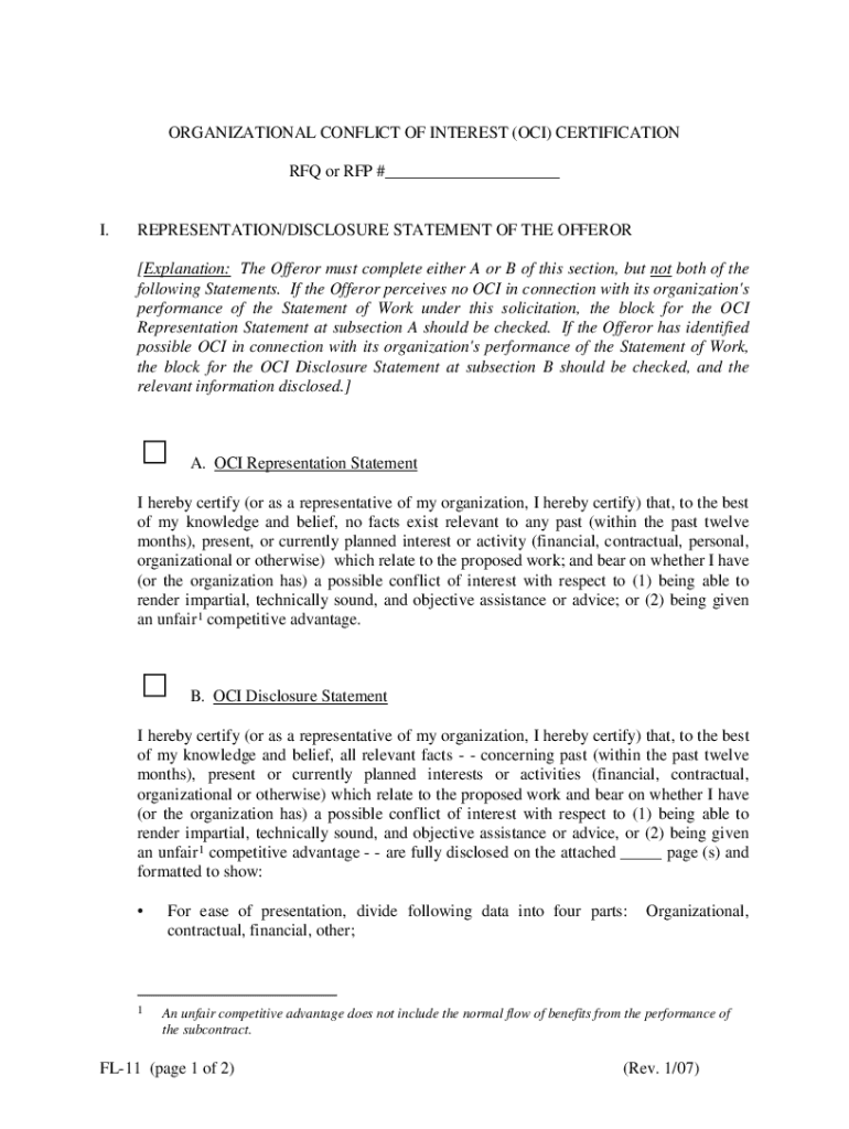
ORGANIZATIONAL CONFLICT OF INTEREST (OCI) CERTIFICATION RFQ or RFP #___I.REPRESENTATION/DISCLOSURE STATEMENT OF THE OFFER OR [Explanation: The Offer or must complete either A or B of this section,
We are not affiliated with any brand or entity on this form
Get, Create, Make and Sign what is an organizational

Edit your what is an organizational form online
Type text, complete fillable fields, insert images, highlight or blackout data for discretion, add comments, and more.

Add your legally-binding signature
Draw or type your signature, upload a signature image, or capture it with your digital camera.

Share your form instantly
Email, fax, or share your what is an organizational form via URL. You can also download, print, or export forms to your preferred cloud storage service.
Editing what is an organizational online
Here are the steps you need to follow to get started with our professional PDF editor:
1
Log in to your account. Click on Start Free Trial and register a profile if you don't have one.
2
Prepare a file. Use the Add New button. Then upload your file to the system from your device, importing it from internal mail, the cloud, or by adding its URL.
3
Edit what is an organizational. Add and change text, add new objects, move pages, add watermarks and page numbers, and more. Then click Done when you're done editing and go to the Documents tab to merge or split the file. If you want to lock or unlock the file, click the lock or unlock button.
4
Get your file. Select the name of your file in the docs list and choose your preferred exporting method. You can download it as a PDF, save it in another format, send it by email, or transfer it to the cloud.
Dealing with documents is always simple with pdfFiller. Try it right now
Uncompromising security for your PDF editing and eSignature needs
Your private information is safe with pdfFiller. We employ end-to-end encryption, secure cloud storage, and advanced access control to protect your documents and maintain regulatory compliance.
How to fill out what is an organizational

How to fill out what is an organizational
01
Start by understanding what an organizational chart is and its purpose.
02
Identify the key positions within the organization.
03
Determine the reporting structure and hierarchy.
04
Fill in the names of individuals who hold each position.
05
Use standardized symbols and formatting for clarity.
06
Review and make adjustments as needed to accurately represent the organization.
Who needs what is an organizational?
01
Organizations of all sizes can benefit from having an organizational chart to provide a visual representation of the structure and hierarchy.
02
HR departments may need an organizational chart to aid in recruitment, onboarding, and succession planning.
03
Managers and team leaders may use an organizational chart to understand reporting relationships and improve communication within the organization.
Fill
form
: Try Risk Free
For pdfFiller’s FAQs
Below is a list of the most common customer questions. If you can’t find an answer to your question, please don’t hesitate to reach out to us.
How can I manage my what is an organizational directly from Gmail?
You can use pdfFiller’s add-on for Gmail in order to modify, fill out, and eSign your what is an organizational along with other documents right in your inbox. Find pdfFiller for Gmail in Google Workspace Marketplace. Use time you spend on handling your documents and eSignatures for more important things.
How do I edit what is an organizational online?
pdfFiller allows you to edit not only the content of your files, but also the quantity and sequence of the pages. Upload your what is an organizational to the editor and make adjustments in a matter of seconds. Text in PDFs may be blacked out, typed in, and erased using the editor. You may also include photos, sticky notes, and text boxes, among other things.
How do I edit what is an organizational on an Android device?
The pdfFiller app for Android allows you to edit PDF files like what is an organizational. Mobile document editing, signing, and sending. Install the app to ease document management anywhere.
What is what is an organizational?
An organizational is a document that outlines the structure, purpose, and activities of an organization.
Who is required to file what is an organizational?
Nonprofit organizations, corporations, and other entities are typically required to file an organizational document.
How to fill out what is an organizational?
To fill out an organizational, you will need to provide information about the organization's name, mission, structure, and key personnel.
What is the purpose of what is an organizational?
The purpose of an organizational is to provide a clear and comprehensive overview of the organization's operations and goals.
What information must be reported on what is an organizational?
Information such as the organization's name, address, purpose, board members, and key activities must be reported on an organizational.
Fill out your what is an organizational online with pdfFiller!
pdfFiller is an end-to-end solution for managing, creating, and editing documents and forms in the cloud. Save time and hassle by preparing your tax forms online.

What Is An Organizational is not the form you're looking for?Search for another form here.
Relevant keywords
Related Forms
If you believe that this page should be taken down, please follow our DMCA take down process
here
.
This form may include fields for payment information. Data entered in these fields is not covered by PCI DSS compliance.