
Get the free Agreement concerning free-of-charge transfer of rights
Show details
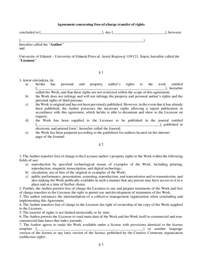
Agreement concerning freeofcharge transfer of rights
concluded in [___], day [___], between:
[___]
hereafter called the Author
and
University of Gdańsk University of Gdańsk Press UL. Arm ii Kraków
We are not affiliated with any brand or entity on this form
Get, Create, Make and Sign agreement concerning -of-charge transfer

Edit your agreement concerning -of-charge transfer form online
Type text, complete fillable fields, insert images, highlight or blackout data for discretion, add comments, and more.

Add your legally-binding signature
Draw or type your signature, upload a signature image, or capture it with your digital camera.

Share your form instantly
Email, fax, or share your agreement concerning -of-charge transfer form via URL. You can also download, print, or export forms to your preferred cloud storage service.
Editing agreement concerning -of-charge transfer online
To use our professional PDF editor, follow these steps:
1
Check your account. It's time to start your free trial.
2
Upload a document. Select Add New on your Dashboard and transfer a file into the system in one of the following ways: by uploading it from your device or importing from the cloud, web, or internal mail. Then, click Start editing.
3
Edit agreement concerning -of-charge transfer. Text may be added and replaced, new objects can be included, pages can be rearranged, watermarks and page numbers can be added, and so on. When you're done editing, click Done and then go to the Documents tab to combine, divide, lock, or unlock the file.
4
Save your file. Select it from your list of records. Then, move your cursor to the right toolbar and choose one of the exporting options. You can save it in multiple formats, download it as a PDF, send it by email, or store it in the cloud, among other things.
With pdfFiller, it's always easy to deal with documents. Try it right now
Uncompromising security for your PDF editing and eSignature needs
Your private information is safe with pdfFiller. We employ end-to-end encryption, secure cloud storage, and advanced access control to protect your documents and maintain regulatory compliance.
How to fill out agreement concerning -of-charge transfer

How to fill out agreement concerning -of-charge transfer
01
Include the names and contact information of the parties involved in the transfer.
02
Clearly state the details of the item or service being transferred free of charge.
03
Specify any terms and conditions associated with the transfer, such as restrictions on use or expiration dates.
04
Outline the agreement's duration and any provisions for termination or renewal.
05
Include signatures from all parties involved to make the agreement legally binding.
Who needs agreement concerning -of-charge transfer?
01
Anyone looking to transfer an item or service free of charge to another party.
Fill
form
: Try Risk Free
For pdfFiller’s FAQs
Below is a list of the most common customer questions. If you can’t find an answer to your question, please don’t hesitate to reach out to us.
How do I modify my agreement concerning -of-charge transfer in Gmail?
The pdfFiller Gmail add-on lets you create, modify, fill out, and sign agreement concerning -of-charge transfer and other documents directly in your email. Click here to get pdfFiller for Gmail. Eliminate tedious procedures and handle papers and eSignatures easily.
How can I modify agreement concerning -of-charge transfer without leaving Google Drive?
By combining pdfFiller with Google Docs, you can generate fillable forms directly in Google Drive. No need to leave Google Drive to make edits or sign documents, including agreement concerning -of-charge transfer. Use pdfFiller's features in Google Drive to handle documents on any internet-connected device.
How do I edit agreement concerning -of-charge transfer in Chrome?
Get and add pdfFiller Google Chrome Extension to your browser to edit, fill out and eSign your agreement concerning -of-charge transfer, which you can open in the editor directly from a Google search page in just one click. Execute your fillable documents from any internet-connected device without leaving Chrome.
What is agreement concerning -of-charge transfer?
Agreement concerning -of-charge transfer is a document that outlines the terms and conditions of transferring ownership of a property or asset without any payment involved.
Who is required to file agreement concerning -of-charge transfer?
The parties involved in the transfer, such as the current owner and the recipient, are required to file agreement concerning -of-charge transfer.
How to fill out agreement concerning -of-charge transfer?
Agreement concerning -of-charge transfer can be filled out by providing details of the property or asset being transferred, the parties involved, and the terms of the transfer.
What is the purpose of agreement concerning -of-charge transfer?
The purpose of agreement concerning -of-charge transfer is to legally document the transfer of ownership of a property or asset without any monetary exchange.
What information must be reported on agreement concerning -of-charge transfer?
Information such as details of the property or asset, names and contact information of the parties involved, and the terms of the transfer must be reported on agreement concerning -of-charge transfer.
Fill out your agreement concerning -of-charge transfer online with pdfFiller!
pdfFiller is an end-to-end solution for managing, creating, and editing documents and forms in the cloud. Save time and hassle by preparing your tax forms online.

Agreement Concerning -Of-Charge Transfer is not the form you're looking for?Search for another form here.
Relevant keywords
Related Forms
If you believe that this page should be taken down, please follow our DMCA take down process
here
.
This form may include fields for payment information. Data entered in these fields is not covered by PCI DSS compliance.