
Get the free Alcohol and entertainment premises licences
Show details
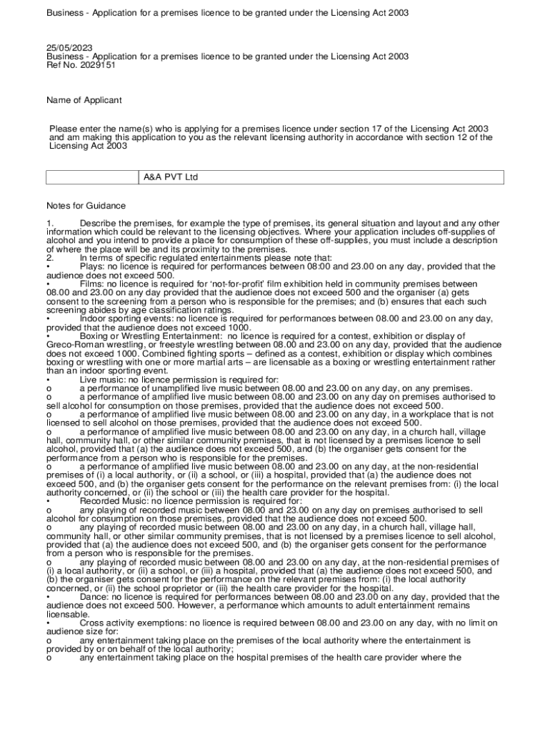
Business Application for a premises license to be granted under the Licensing Act 200325/05/2023 Business Application for a premises license to be granted under the Licensing Act 2003 Ref No. 2029151Name
We are not affiliated with any brand or entity on this form
Get, Create, Make and Sign alcohol and entertainment premises

Edit your alcohol and entertainment premises form online
Type text, complete fillable fields, insert images, highlight or blackout data for discretion, add comments, and more.

Add your legally-binding signature
Draw or type your signature, upload a signature image, or capture it with your digital camera.

Share your form instantly
Email, fax, or share your alcohol and entertainment premises form via URL. You can also download, print, or export forms to your preferred cloud storage service.
How to edit alcohol and entertainment premises online
Here are the steps you need to follow to get started with our professional PDF editor:
1
Log in. Click Start Free Trial and create a profile if necessary.
2
Upload a document. Select Add New on your Dashboard and transfer a file into the system in one of the following ways: by uploading it from your device or importing from the cloud, web, or internal mail. Then, click Start editing.
3
Edit alcohol and entertainment premises. Add and replace text, insert new objects, rearrange pages, add watermarks and page numbers, and more. Click Done when you are finished editing and go to the Documents tab to merge, split, lock or unlock the file.
4
Get your file. When you find your file in the docs list, click on its name and choose how you want to save it. To get the PDF, you can save it, send an email with it, or move it to the cloud.
It's easier to work with documents with pdfFiller than you could have ever thought. You may try it out for yourself by signing up for an account.
Uncompromising security for your PDF editing and eSignature needs
Your private information is safe with pdfFiller. We employ end-to-end encryption, secure cloud storage, and advanced access control to protect your documents and maintain regulatory compliance.
How to fill out alcohol and entertainment premises

How to fill out alcohol and entertainment premises
01
Determine the type of alcohol and entertainment premises you will be operating.
02
Obtain the necessary permits and licenses for your specific type of premises.
03
Design and layout your premises to comply with local regulations and safety standards.
04
Train staff on responsible alcohol service and handling of entertainment activities.
05
Keep accurate records of alcohol sales and entertainment events for compliance purposes.
Who needs alcohol and entertainment premises?
01
Anyone looking to operate a business that involves serving alcohol or hosting entertainment events needs alcohol and entertainment premises.
Fill
form
: Try Risk Free
For pdfFiller’s FAQs
Below is a list of the most common customer questions. If you can’t find an answer to your question, please don’t hesitate to reach out to us.
How can I edit alcohol and entertainment premises from Google Drive?
Using pdfFiller with Google Docs allows you to create, amend, and sign documents straight from your Google Drive. The add-on turns your alcohol and entertainment premises into a dynamic fillable form that you can manage and eSign from anywhere.
How do I edit alcohol and entertainment premises in Chrome?
alcohol and entertainment premises can be edited, filled out, and signed with the pdfFiller Google Chrome Extension. You can open the editor right from a Google search page with just one click. Fillable documents can be done on any web-connected device without leaving Chrome.
Can I create an electronic signature for the alcohol and entertainment premises in Chrome?
Yes. By adding the solution to your Chrome browser, you can use pdfFiller to eSign documents and enjoy all of the features of the PDF editor in one place. Use the extension to create a legally-binding eSignature by drawing it, typing it, or uploading a picture of your handwritten signature. Whatever you choose, you will be able to eSign your alcohol and entertainment premises in seconds.
What is alcohol and entertainment premises?
Alcohol and entertainment premises refer to establishments that sell alcoholic beverages and provide entertainment services.
Who is required to file alcohol and entertainment premises?
Business owners or operators of alcohol and entertainment premises are required to file the necessary permits and paperwork.
How to fill out alcohol and entertainment premises?
To fill out alcohol and entertainment premises, business owners need to provide information about their establishment, such as location, type of entertainment provided, and alcohol license details.
What is the purpose of alcohol and entertainment premises?
The purpose of alcohol and entertainment premises is to regulate the sale of alcohol and ensure the safety and enjoyment of patrons.
What information must be reported on alcohol and entertainment premises?
Information such as the name and address of the premises, details of the entertainment provided, and the type of alcohol sold must be reported on alcohol and entertainment premises.
Fill out your alcohol and entertainment premises online with pdfFiller!
pdfFiller is an end-to-end solution for managing, creating, and editing documents and forms in the cloud. Save time and hassle by preparing your tax forms online.

Alcohol And Entertainment Premises is not the form you're looking for?Search for another form here.
Relevant keywords
Related Forms
If you believe that this page should be taken down, please follow our DMCA take down process
here
.
This form may include fields for payment information. Data entered in these fields is not covered by PCI DSS compliance.