
Get the free Local Administered Project (LAP) Manual
Show details
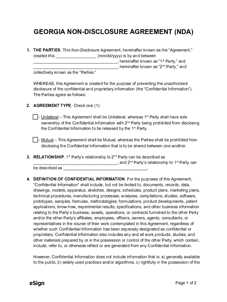
GEORGIA NONDISCLOSURE AGREEMENT (NDA) 1. THE PARTIES. This Nondisclosure Agreement, hereinafter known as the Agreement, created this ___ (mm/dd/YYY) is by and between ___, hereinafter known as 1st
We are not affiliated with any brand or entity on this form
Get, Create, Make and Sign local administered project lap

Edit your local administered project lap form online
Type text, complete fillable fields, insert images, highlight or blackout data for discretion, add comments, and more.

Add your legally-binding signature
Draw or type your signature, upload a signature image, or capture it with your digital camera.

Share your form instantly
Email, fax, or share your local administered project lap form via URL. You can also download, print, or export forms to your preferred cloud storage service.
Editing local administered project lap online
Use the instructions below to start using our professional PDF editor:
1
Log in. Click Start Free Trial and create a profile if necessary.
2
Simply add a document. Select Add New from your Dashboard and import a file into the system by uploading it from your device or importing it via the cloud, online, or internal mail. Then click Begin editing.
3
Edit local administered project lap. Add and change text, add new objects, move pages, add watermarks and page numbers, and more. Then click Done when you're done editing and go to the Documents tab to merge or split the file. If you want to lock or unlock the file, click the lock or unlock button.
4
Save your file. Select it from your records list. Then, click the right toolbar and select one of the various exporting options: save in numerous formats, download as PDF, email, or cloud.
With pdfFiller, it's always easy to work with documents.
Uncompromising security for your PDF editing and eSignature needs
Your private information is safe with pdfFiller. We employ end-to-end encryption, secure cloud storage, and advanced access control to protect your documents and maintain regulatory compliance.
How to fill out local administered project lap

How to fill out local administered project lap
01
Obtain the required forms from the local administration office.
02
Fill out all necessary information accurately and completely on the forms.
03
Provide any supporting documents or information as required by the local administration.
04
Review the completed project lap for any errors or omissions before submitting it.
05
Submit the filled out project lap to the appropriate office or department for processing.
Who needs local administered project lap?
01
Individuals or organizations who are seeking approval or funding for a local project from the local administration.
Fill
form
: Try Risk Free
For pdfFiller’s FAQs
Below is a list of the most common customer questions. If you can’t find an answer to your question, please don’t hesitate to reach out to us.
How can I modify local administered project lap without leaving Google Drive?
Using pdfFiller with Google Docs allows you to create, amend, and sign documents straight from your Google Drive. The add-on turns your local administered project lap into a dynamic fillable form that you can manage and eSign from anywhere.
Can I create an eSignature for the local administered project lap in Gmail?
Upload, type, or draw a signature in Gmail with the help of pdfFiller’s add-on. pdfFiller enables you to eSign your local administered project lap and other documents right in your inbox. Register your account in order to save signed documents and your personal signatures.
How do I complete local administered project lap on an iOS device?
Install the pdfFiller app on your iOS device to fill out papers. If you have a subscription to the service, create an account or log in to an existing one. After completing the registration process, upload your local administered project lap. You may now use pdfFiller's advanced features, such as adding fillable fields and eSigning documents, and accessing them from any device, wherever you are.
What is local administered project lap?
Local Administered Project LAP stands for Local Area Plan, which is a comprehensive plan that guides development in a specific area.
Who is required to file local administered project lap?
Local government authorities or planning agencies are usually required to file the Local Administered Project LAP.
How to fill out local administered project lap?
Local Administered Project LAP can be filled out by following the guidelines provided by the local planning agency or authority.
What is the purpose of local administered project lap?
The purpose of Local Administered Project LAP is to ensure planned and sustainable development within a specific area.
What information must be reported on local administered project lap?
Information such as land use, transportation, infrastructure, and environmental considerations must be reported on the Local Administered Project LAP.
Fill out your local administered project lap online with pdfFiller!
pdfFiller is an end-to-end solution for managing, creating, and editing documents and forms in the cloud. Save time and hassle by preparing your tax forms online.

Local Administered Project Lap is not the form you're looking for?Search for another form here.
Relevant keywords
Related Forms
If you believe that this page should be taken down, please follow our DMCA take down process
here
.
This form may include fields for payment information. Data entered in these fields is not covered by PCI DSS compliance.