
Get the free Dental Careers in the United States Public Health Service - dcp psc
Show details
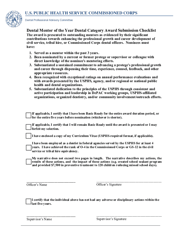
U.S. PUBLIC HEALTH SERVICE COMMISSIONED CORPS Dental Professional Advisory CommitteeDental Mentor of the Year Dental Category Award Submission Checklist award is presented to outstanding mentors as
We are not affiliated with any brand or entity on this form
Get, Create, Make and Sign dental careers in form

Edit your dental careers in form form online
Type text, complete fillable fields, insert images, highlight or blackout data for discretion, add comments, and more.

Add your legally-binding signature
Draw or type your signature, upload a signature image, or capture it with your digital camera.

Share your form instantly
Email, fax, or share your dental careers in form form via URL. You can also download, print, or export forms to your preferred cloud storage service.
Editing dental careers in form online
To use our professional PDF editor, follow these steps:
1
Create an account. Begin by choosing Start Free Trial and, if you are a new user, establish a profile.
2
Prepare a file. Use the Add New button to start a new project. Then, using your device, upload your file to the system by importing it from internal mail, the cloud, or adding its URL.
3
Edit dental careers in form. Add and replace text, insert new objects, rearrange pages, add watermarks and page numbers, and more. Click Done when you are finished editing and go to the Documents tab to merge, split, lock or unlock the file.
4
Get your file. When you find your file in the docs list, click on its name and choose how you want to save it. To get the PDF, you can save it, send an email with it, or move it to the cloud.
With pdfFiller, it's always easy to work with documents.
Uncompromising security for your PDF editing and eSignature needs
Your private information is safe with pdfFiller. We employ end-to-end encryption, secure cloud storage, and advanced access control to protect your documents and maintain regulatory compliance.
How to fill out dental careers in form

How to fill out dental careers in form
01
Start by entering your personal information such as name, address, and contact details.
02
Provide details about your educational background and any relevant qualifications or certifications.
03
Fill out information about your work experience, including any previous dental jobs or internships.
04
Include any additional skills or languages you may have that are relevant to a dental career.
05
Finally, review the form for accuracy and completeness before submitting it.
Who needs dental careers in form?
01
Individuals who are interested in pursuing a career in the dental field.
02
Dental students looking for job opportunities or internships.
03
Dental professionals seeking new job opportunities or career advancement.
Fill
form
: Try Risk Free
For pdfFiller’s FAQs
Below is a list of the most common customer questions. If you can’t find an answer to your question, please don’t hesitate to reach out to us.
How can I send dental careers in form to be eSigned by others?
When you're ready to share your dental careers in form, you can swiftly email it to others and receive the eSigned document back. You may send your PDF through email, fax, text message, or USPS mail, or you can notarize it online. All of this may be done without ever leaving your account.
How do I make changes in dental careers in form?
The editing procedure is simple with pdfFiller. Open your dental careers in form in the editor. You may also add photos, draw arrows and lines, insert sticky notes and text boxes, and more.
How can I edit dental careers in form on a smartphone?
Using pdfFiller's mobile-native applications for iOS and Android is the simplest method to edit documents on a mobile device. You may get them from the Apple App Store and Google Play, respectively. More information on the apps may be found here. Install the program and log in to begin editing dental careers in form.
What is dental careers in form?
The dental careers in form is a document that individuals working in the dental field must submit to report their career progress.
Who is required to file dental careers in form?
Dental professionals, including dentists, dental hygienists, dental assistants, and dental technicians, are required to file the dental careers in form.
How to fill out dental careers in form?
The dental careers in form can be filled out online or submitted in paper form. It requires basic personal information, education details, work experience, and future career goals.
What is the purpose of dental careers in form?
The purpose of the dental careers in form is to track the career progression of individuals in the dental field, and to identify trends and areas for improvement in dental careers.
What information must be reported on dental careers in form?
Information such as educational background, work experience, certifications, current job status, and future career goals must be reported on the dental careers in form.
Fill out your dental careers in form online with pdfFiller!
pdfFiller is an end-to-end solution for managing, creating, and editing documents and forms in the cloud. Save time and hassle by preparing your tax forms online.

Dental Careers In Form is not the form you're looking for?Search for another form here.
Relevant keywords
Related Forms
If you believe that this page should be taken down, please follow our DMCA take down process
here
.
This form may include fields for payment information. Data entered in these fields is not covered by PCI DSS compliance.