
Get the free MCHS Fall Sport Strength and Conditioning Assumption of ...
Show details
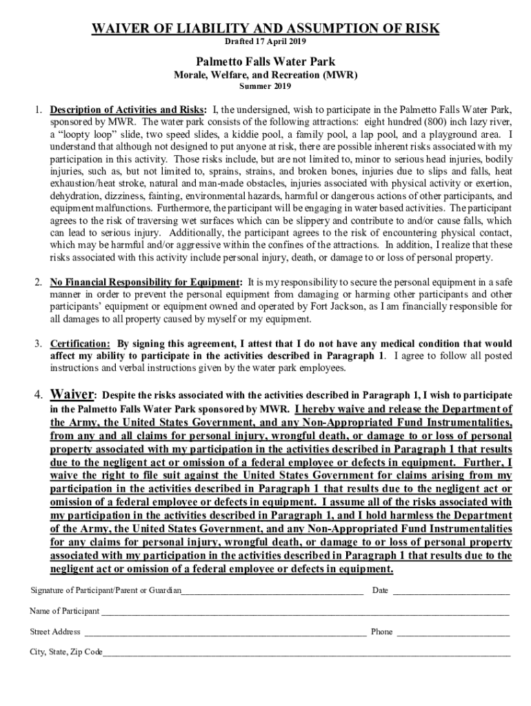
WAIVER OF LIABILITY AND ASSUMPTION OF RISK Drafted 17 April 2019Palmetto Falls Water Paramore, Welfare, and Recreation (MR) Summer 20191. Description of Activities and Risks: I, the undersigned, wish
We are not affiliated with any brand or entity on this form
Get, Create, Make and Sign mchs fall sport strength

Edit your mchs fall sport strength form online
Type text, complete fillable fields, insert images, highlight or blackout data for discretion, add comments, and more.

Add your legally-binding signature
Draw or type your signature, upload a signature image, or capture it with your digital camera.

Share your form instantly
Email, fax, or share your mchs fall sport strength form via URL. You can also download, print, or export forms to your preferred cloud storage service.
How to edit mchs fall sport strength online
To use the professional PDF editor, follow these steps below:
1
Set up an account. If you are a new user, click Start Free Trial and establish a profile.
2
Prepare a file. Use the Add New button to start a new project. Then, using your device, upload your file to the system by importing it from internal mail, the cloud, or adding its URL.
3
Edit mchs fall sport strength. Rearrange and rotate pages, insert new and alter existing texts, add new objects, and take advantage of other helpful tools. Click Done to apply changes and return to your Dashboard. Go to the Documents tab to access merging, splitting, locking, or unlocking functions.
4
Get your file. Select the name of your file in the docs list and choose your preferred exporting method. You can download it as a PDF, save it in another format, send it by email, or transfer it to the cloud.
Uncompromising security for your PDF editing and eSignature needs
Your private information is safe with pdfFiller. We employ end-to-end encryption, secure cloud storage, and advanced access control to protect your documents and maintain regulatory compliance.
How to fill out mchs fall sport strength

How to fill out mchs fall sport strength
01
Obtain the MCHS Fall Sport Strength form from your coach or athletic department.
02
Fill in your personal information including name, age, address, and contact information.
03
Specify which fall sport you are participating in.
04
Detail any medical conditions or allergies that the coaches should be aware of.
05
Complete the strength training goals section by setting specific and measurable objectives.
06
Sign and date the form to acknowledge that you have read and completed it.
07
Return the form to the appropriate person or department by the specified deadline.
Who needs mchs fall sport strength?
01
Athletes participating in fall sports at MCHS are required to fill out the Fall Sport Strength form to ensure they are prepared for the physical demands of their sport and to help coaches tailor the strength training program to meet their needs.
Fill
form
: Try Risk Free
For pdfFiller’s FAQs
Below is a list of the most common customer questions. If you can’t find an answer to your question, please don’t hesitate to reach out to us.
How do I make changes in mchs fall sport strength?
The editing procedure is simple with pdfFiller. Open your mchs fall sport strength in the editor, which is quite user-friendly. You may use it to blackout, redact, write, and erase text, add photos, draw arrows and lines, set sticky notes and text boxes, and much more.
How do I make edits in mchs fall sport strength without leaving Chrome?
Add pdfFiller Google Chrome Extension to your web browser to start editing mchs fall sport strength and other documents directly from a Google search page. The service allows you to make changes in your documents when viewing them in Chrome. Create fillable documents and edit existing PDFs from any internet-connected device with pdfFiller.
How can I edit mchs fall sport strength on a smartphone?
You can easily do so with pdfFiller's apps for iOS and Android devices, which can be found at the Apple Store and the Google Play Store, respectively. You can use them to fill out PDFs. We have a website where you can get the app, but you can also get it there. When you install the app, log in, and start editing mchs fall sport strength, you can start right away.
What is mchs fall sport strength?
MCHS fall sport strength is the measure of athletic ability and physical conditioning of the fall sports teams at MCHS.
Who is required to file mchs fall sport strength?
The coaches and athletic department staff at MCHS are required to file the fall sport strength report.
How to fill out mchs fall sport strength?
The fall sport strength report can be filled out by assessing the physical abilities and conditioning of the athletes, and documenting the results accurately.
What is the purpose of mchs fall sport strength?
The purpose of mchs fall sport strength is to monitor and improve the athletic performance and physical fitness of the fall sports teams at MCHS.
What information must be reported on mchs fall sport strength?
The report must include details on the physical tests conducted, the results of the tests, and any recommendations for improvement.
Fill out your mchs fall sport strength online with pdfFiller!
pdfFiller is an end-to-end solution for managing, creating, and editing documents and forms in the cloud. Save time and hassle by preparing your tax forms online.

Mchs Fall Sport Strength is not the form you're looking for?Search for another form here.
Relevant keywords
Related Forms
If you believe that this page should be taken down, please follow our DMCA take down process
here
.
This form may include fields for payment information. Data entered in these fields is not covered by PCI DSS compliance.