
Get the free Toga Times!
Show details
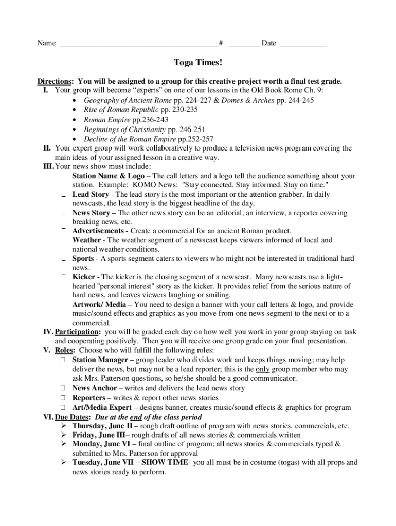
Name ___# ___ Date ___Toga Times! Directions: You will be assigned to a group for this creative project worth a final test grade. I. Your group will become experts on one of our lessons in the Old
We are not affiliated with any brand or entity on this form
Get, Create, Make and Sign toga times

Edit your toga times form online
Type text, complete fillable fields, insert images, highlight or blackout data for discretion, add comments, and more.

Add your legally-binding signature
Draw or type your signature, upload a signature image, or capture it with your digital camera.

Share your form instantly
Email, fax, or share your toga times form via URL. You can also download, print, or export forms to your preferred cloud storage service.
How to edit toga times online
Here are the steps you need to follow to get started with our professional PDF editor:
1
Set up an account. If you are a new user, click Start Free Trial and establish a profile.
2
Prepare a file. Use the Add New button to start a new project. Then, using your device, upload your file to the system by importing it from internal mail, the cloud, or adding its URL.
3
Edit toga times. Text may be added and replaced, new objects can be included, pages can be rearranged, watermarks and page numbers can be added, and so on. When you're done editing, click Done and then go to the Documents tab to combine, divide, lock, or unlock the file.
4
Save your file. Choose it from the list of records. Then, shift the pointer to the right toolbar and select one of the several exporting methods: save it in multiple formats, download it as a PDF, email it, or save it to the cloud.
pdfFiller makes working with documents easier than you could ever imagine. Try it for yourself by creating an account!
Uncompromising security for your PDF editing and eSignature needs
Your private information is safe with pdfFiller. We employ end-to-end encryption, secure cloud storage, and advanced access control to protect your documents and maintain regulatory compliance.
How to fill out toga times

How to fill out toga times
01
Start by gathering all necessary information such as event details, dates, and locations.
02
Find a reputable source for toga times template or create your own design.
03
Fill out all the necessary fields with accurate information.
04
Double-check all details for accuracy and completeness before finalizing the toga times.
Who needs toga times?
01
Event organizers who want to provide attendees with a schedule of events.
02
Students organizing a toga party or themed event.
03
Conference organizers looking to keep attendees informed of session times.
Fill
form
: Try Risk Free
For pdfFiller’s FAQs
Below is a list of the most common customer questions. If you can’t find an answer to your question, please don’t hesitate to reach out to us.
How do I complete toga times online?
Easy online toga times completion using pdfFiller. Also, it allows you to legally eSign your form and change original PDF material. Create a free account and manage documents online.
How do I make edits in toga times without leaving Chrome?
Install the pdfFiller Chrome Extension to modify, fill out, and eSign your toga times, which you can access right from a Google search page. Fillable documents without leaving Chrome on any internet-connected device.
How can I edit toga times on a smartphone?
The pdfFiller mobile applications for iOS and Android are the easiest way to edit documents on the go. You may get them from the Apple Store and Google Play. More info about the applications here. Install and log in to edit toga times.
What is toga times?
Toga times is a financial reporting document that outlines income and expenses related to toga events or activities.
Who is required to file toga times?
Any individual or organization that hosts a toga event or activity is required to file toga times.
How to fill out toga times?
Toga times can be filled out online or submitted in paper form, and must include details of income and expenses related to the toga event.
What is the purpose of toga times?
The purpose of toga times is to provide a transparent record of financial transactions related to toga events, ensuring accountability and compliance with financial regulations.
What information must be reported on toga times?
Information such as total income from ticket sales, donations, and sponsorships, as well as expenses for venue rental, decorations, and food and beverages must be reported on toga times.
Fill out your toga times online with pdfFiller!
pdfFiller is an end-to-end solution for managing, creating, and editing documents and forms in the cloud. Save time and hassle by preparing your tax forms online.

Toga Times is not the form you're looking for?Search for another form here.
Relevant keywords
Related Forms
If you believe that this page should be taken down, please follow our DMCA take down process
here
.
This form may include fields for payment information. Data entered in these fields is not covered by PCI DSS compliance.