
Get the free Mailbox RentalsCampus Prints at Sonoma State University
Show details
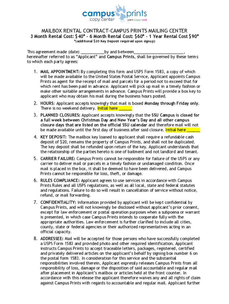
MAILBOX RENTAL CONTRACTCAMPUS PRINTS MAILING CENTER 3 Month Rental Cost: $40* 6 Month Rental Cost: $60* 1 Year Rental Cost $90* *(additional $20 Key Deposit required upon sign up)This agreement made
We are not affiliated with any brand or entity on this form
Get, Create, Make and Sign mailbox rentalscampus prints at

Edit your mailbox rentalscampus prints at form online
Type text, complete fillable fields, insert images, highlight or blackout data for discretion, add comments, and more.

Add your legally-binding signature
Draw or type your signature, upload a signature image, or capture it with your digital camera.

Share your form instantly
Email, fax, or share your mailbox rentalscampus prints at form via URL. You can also download, print, or export forms to your preferred cloud storage service.
Editing mailbox rentalscampus prints at online
Use the instructions below to start using our professional PDF editor:
1
Create an account. Begin by choosing Start Free Trial and, if you are a new user, establish a profile.
2
Upload a file. Select Add New on your Dashboard and upload a file from your device or import it from the cloud, online, or internal mail. Then click Edit.
3
Edit mailbox rentalscampus prints at. Replace text, adding objects, rearranging pages, and more. Then select the Documents tab to combine, divide, lock or unlock the file.
4
Get your file. When you find your file in the docs list, click on its name and choose how you want to save it. To get the PDF, you can save it, send an email with it, or move it to the cloud.
With pdfFiller, it's always easy to work with documents.
Uncompromising security for your PDF editing and eSignature needs
Your private information is safe with pdfFiller. We employ end-to-end encryption, secure cloud storage, and advanced access control to protect your documents and maintain regulatory compliance.
How to fill out mailbox rentalscampus prints at

How to fill out mailbox rentalscampus prints at
01
Visit the campus prints location that offers mailbox rentals.
02
Inquire about the available mailbox sizes and prices.
03
Provide the necessary identification and documentation to set up the rental agreement.
04
Fill out the rental application with personal information and preferences.
05
Agree to the terms and conditions of the rental agreement.
06
Pay the required rental fees to secure the mailbox.
Who needs mailbox rentalscampus prints at?
01
Students who live on campus and do not have a permanent mailing address.
02
Small business owners who need a professional mailing address for their company.
03
Individuals who travel frequently and need a secure location to receive mail and packages.
04
People who prefer to separate their personal and business mail.
Fill
form
: Try Risk Free
For pdfFiller’s FAQs
Below is a list of the most common customer questions. If you can’t find an answer to your question, please don’t hesitate to reach out to us.
How can I manage my mailbox rentalscampus prints at directly from Gmail?
It's easy to use pdfFiller's Gmail add-on to make and edit your mailbox rentalscampus prints at and any other documents you get right in your email. You can also eSign them. Take a look at the Google Workspace Marketplace and get pdfFiller for Gmail. Get rid of the time-consuming steps and easily manage your documents and eSignatures with the help of an app.
How do I fill out the mailbox rentalscampus prints at form on my smartphone?
Use the pdfFiller mobile app to complete and sign mailbox rentalscampus prints at on your mobile device. Visit our web page (https://edit-pdf-ios-android.pdffiller.com/) to learn more about our mobile applications, the capabilities you’ll have access to, and the steps to take to get up and running.
How do I edit mailbox rentalscampus prints at on an Android device?
Yes, you can. With the pdfFiller mobile app for Android, you can edit, sign, and share mailbox rentalscampus prints at on your mobile device from any location; only an internet connection is needed. Get the app and start to streamline your document workflow from anywhere.
What is mailbox rentalscampus prints at?
Mailbox rentalscampus prints at is a service offered by Campus Prints where individuals or businesses can rent a mailbox for receiving mail and packages.
Who is required to file mailbox rentalscampus prints at?
Any individual or business looking to have a secure mailbox for receiving mail and packages can file for mailbox rentals at Campus Prints.
How to fill out mailbox rentalscampus prints at?
To fill out mailbox rentals at Campus Prints, you need to visit their website or physical location, provide necessary information and choose the rental plan that suits your needs.
What is the purpose of mailbox rentalscampus prints at?
The purpose of mailbox rentals at Campus Prints is to provide individuals or businesses with a secure and convenient way to receive their mail and packages.
What information must be reported on mailbox rentalscampus prints at?
When filling out mailbox rentals at Campus Prints, you need to provide personal information such as your name, address, and contact details.
Fill out your mailbox rentalscampus prints at online with pdfFiller!
pdfFiller is an end-to-end solution for managing, creating, and editing documents and forms in the cloud. Save time and hassle by preparing your tax forms online.

Mailbox Rentalscampus Prints At is not the form you're looking for?Search for another form here.
Relevant keywords
Related Forms
If you believe that this page should be taken down, please follow our DMCA take down process
here
.
This form may include fields for payment information. Data entered in these fields is not covered by PCI DSS compliance.