Form preview

Get the free How to Teach Claim, Evidence, and Reasoning (CER) Like ...

Get Form
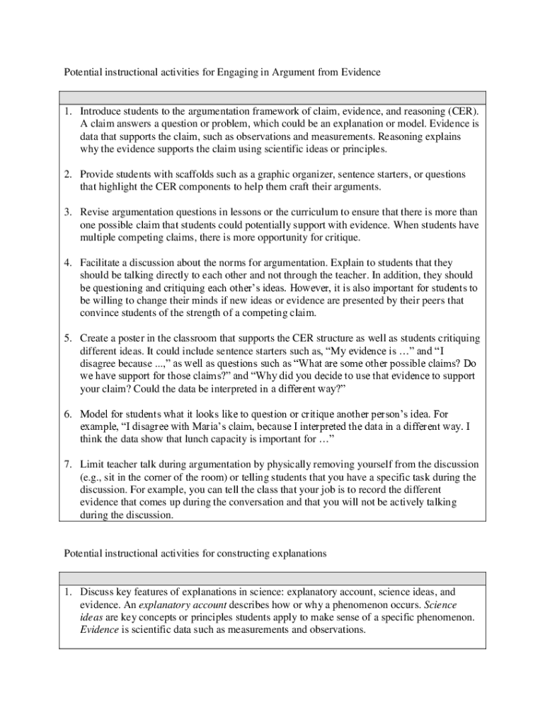
Potential instructional activities for Engaging in Argument from Evidence1. Introduce students to the argumentation framework of claim, evidence, and reasoning (CER). A claim answers a question or
We are not affiliated with any brand or entity on this form

Get, Create, Make and Sign how to teach claim

Edit
Edit your how to teach claim form online
Type text, complete fillable fields, insert images, highlight or blackout data for discretion, add comments, and more.
Add
Add your legally-binding signature
Draw or type your signature, upload a signature image, or capture it with your digital camera.
Share
Share your form instantly
Email, fax, or share your how to teach claim form via URL. You can also download, print, or export forms to your preferred cloud storage service.

How to edit how to teach claim online

9.5
Ease of Setup
pdfFiller User Ratings on G2
9.0
Ease of Use
pdfFiller User Ratings on G2
Use the instructions below to start using our professional PDF editor:
1
Create an account. Begin by choosing Start Free Trial and, if you are a new user, establish a profile.
2
Prepare a file. Use the Add New button. Then upload your file to the system from your device, importing it from internal mail, the cloud, or by adding its URL.
3
Edit how to teach claim. Rearrange and rotate pages, add new and changed texts, add new objects, and use other useful tools. When you're done, click Done. You can use the Documents tab to merge, split, lock, or unlock your files.
4
Get your file. Select the name of your file in the docs list and choose your preferred exporting method. You can download it as a PDF, save it in another format, send it by email, or transfer it to the cloud.
With pdfFiller, it's always easy to deal with documents.

Uncompromising security for your PDF editing and eSignature needs

Your private information is safe with pdfFiller. We employ end-to-end encryption, secure cloud storage, and advanced access control to protect your documents and maintain regulatory compliance.
GDPR
AICPA SOC 2
PCI
HIPAA
CCPA
FDA

How to fill out how to teach claim

Illustration

How to fill out how to teach claim

01
Start by clearly defining the claim that you want to teach.
02
Provide evidence and reasoning to support the claim.
03
Make sure to address any counterarguments or alternative viewpoints.
04
Use visuals, examples, and real-life situations to enhance understanding.
05
Encourage discussion and critical thinking to engage students in the learning process.

Who needs how to teach claim?

01
Educators who want to effectively communicate and teach a particular claim or argument.
02
Students who are learning how to develop and support a claim in their writing or presentations.
Fill form : Try Risk Free
Users Most Likely To Recommend - Summer 2025
Grid Leader in Small-Business - Summer 2025
High Performer - Summer 2025
Regional Leader - Summer 2025
Easiest To Do Business With - Summer 2025
Best Meets Requirements- Summer 2025
Rate the form
4.8
Satisfied
59 Votes

For pdfFiller’s FAQs

Below is a list of the most common customer questions. If you can’t find an answer to your question, please don’t hesitate to reach out to us.

With pdfFiller, an all-in-one online tool for professional document management, it's easy to fill out documents. Over 25 million fillable forms are available on our website, and you can find the how to teach claim in a matter of seconds. Open it right away and start making it your own with help from advanced editing tools.
Easy online how to teach claim completion using pdfFiller. Also, it allows you to legally eSign your form and change original PDF material. Create a free account and manage documents online.
You certainly can. You can quickly edit, distribute, and sign how to teach claim on your iOS device with the pdfFiller mobile app. Purchase it from the Apple Store and install it in seconds. The program is free, but in order to purchase a subscription or activate a free trial, you must first establish an account.
The how to teach claim refers to a process or document that educators use to substantiate their teaching methodologies and practices, often for professional development or curriculum evaluation.
Typically, educators or teachers who are seeking to prove or enhance their teaching effectiveness and practices are required to file a how to teach claim.
To fill out a how to teach claim, educators should provide detailed descriptions of their teaching practices, reflect on their methodologies, and include evidence of student outcomes and feedback.
The purpose of the how to teach claim is to document and communicate effective teaching strategies, enhance educational practices, and support professional growth for educators.
Information that must be reported includes teaching strategies used, student performance data, feedback from students, and reflective practices that showcase the educator's effectiveness.
Fill out your how to teach claim online with pdfFiller!

pdfFiller is an end-to-end solution for managing, creating, and editing documents and forms in the cloud. Save time and hassle by preparing your tax forms online.

Get started now
Form preview
If you believe that this page should be taken down, please follow our DMCA take down process here .
This form may include fields for payment information. Data entered in these fields is not covered by PCI DSS compliance.