Get the free DRAFT FOR DISCUSSION PURPOSES ONLY Sample ...
Show details
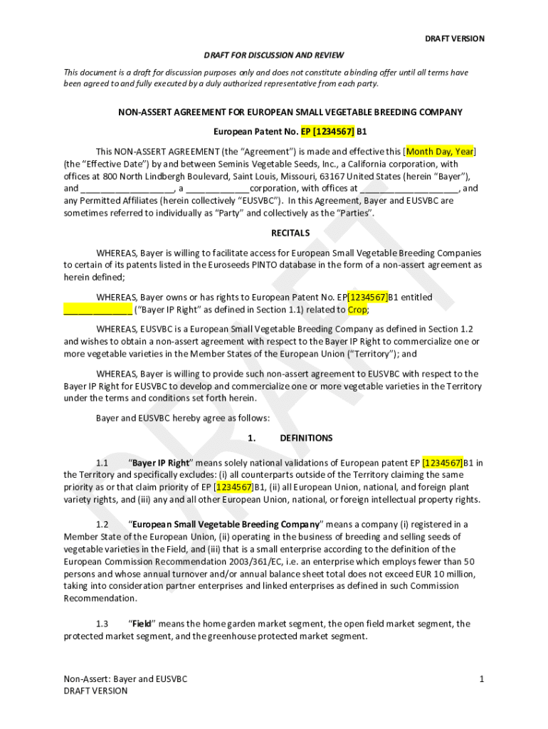
DRAFT VERSION DRAFT FOR DISCUSSION AND REVIEW This document is a draft for discussion purposes only and does not constitute a binding offer until all terms have been agreed to and fully executed by
We are not affiliated with any brand or entity on this form
Get, Create, Make and Sign draft for discussion purposes
Edit your draft for discussion purposes form online
Type text, complete fillable fields, insert images, highlight or blackout data for discretion, add comments, and more.
Add your legally-binding signature
Draw or type your signature, upload a signature image, or capture it with your digital camera.
Share your form instantly
Email, fax, or share your draft for discussion purposes form via URL. You can also download, print, or export forms to your preferred cloud storage service.
How to edit draft for discussion purposes online
Follow the guidelines below to benefit from the PDF editor's expertise:
1
Check your account. In case you're new, it's time to start your free trial.
2
Prepare a file. Use the Add New button to start a new project. Then, using your device, upload your file to the system by importing it from internal mail, the cloud, or adding its URL.
3
Edit draft for discussion purposes. Add and change text, add new objects, move pages, add watermarks and page numbers, and more. Then click Done when you're done editing and go to the Documents tab to merge or split the file. If you want to lock or unlock the file, click the lock or unlock button.
4
Get your file. Select your file from the documents list and pick your export method. You may save it as a PDF, email it, or upload it to the cloud.
With pdfFiller, it's always easy to work with documents. Try it!
Uncompromising security for your PDF editing and eSignature needs
Your private information is safe with pdfFiller. We employ end-to-end encryption, secure cloud storage, and advanced access control to protect your documents and maintain regulatory compliance.
How to fill out draft for discussion purposes
How to fill out draft for discussion purposes
01
Start by identifying the main topic or purpose of the discussion draft.
02
Create a clear and concise outline of the key points or sections to be included.
03
Fill in each section with relevant information, arguments, and supporting details.
04
Use a formal and organized structure to present the draft in a coherent manner.
05
Proofread and edit the draft for clarity, consistency, and accuracy before sharing it for discussion.
Who needs draft for discussion purposes?
01
Individuals preparing for a group discussion or meeting.
02
Team leaders or project managers looking to gather input and feedback on a specific topic.
03
Professionals seeking to collaborate and brainstorm ideas with colleagues or stakeholders.
Fill
form
: Try Risk Free
For pdfFiller’s FAQs
Below is a list of the most common customer questions. If you can’t find an answer to your question, please don’t hesitate to reach out to us.
How do I edit draft for discussion purposes on an iOS device?
No, you can't. With the pdfFiller app for iOS, you can edit, share, and sign draft for discussion purposes right away. At the Apple Store, you can buy and install it in a matter of seconds. The app is free, but you will need to set up an account if you want to buy a subscription or start a free trial.
How do I complete draft for discussion purposes on an iOS device?
Make sure you get and install the pdfFiller iOS app. Next, open the app and log in or set up an account to use all of the solution's editing tools. If you want to open your draft for discussion purposes, you can upload it from your device or cloud storage, or you can type the document's URL into the box on the right. After you fill in all of the required fields in the document and eSign it, if that is required, you can save or share it with other people.
Can I edit draft for discussion purposes on an Android device?
You can. With the pdfFiller Android app, you can edit, sign, and distribute draft for discussion purposes from anywhere with an internet connection. Take use of the app's mobile capabilities.
What is draft for discussion purposes?
A draft for discussion purposes is a preliminary version of a document or proposal that is circulated for feedback and discussion before finalization.
Who is required to file draft for discussion purposes?
Individuals or organizations that are seeking feedback on their proposals or plans are typically required to file a draft for discussion purposes.
How to fill out draft for discussion purposes?
To fill out a draft for discussion purposes, include a clear title, background information, proposed solutions or ideas, and sections for feedback or comments.
What is the purpose of draft for discussion purposes?
The purpose of a draft for discussion purposes is to solicit input, suggestions, and critiques from stakeholders before the final version is completed.
What information must be reported on draft for discussion purposes?
Essential information on a draft for discussion includes objectives, key points, intended audience, and any relevant data or research.
Fill out your draft for discussion purposes online with pdfFiller!
pdfFiller is an end-to-end solution for managing, creating, and editing documents and forms in the cloud. Save time and hassle by preparing your tax forms online.
Draft For Discussion Purposes is not the form you're looking for?Search for another form here.
Relevant keywords
Related Forms
If you believe that this page should be taken down, please follow our DMCA take down process
here
.
This form may include fields for payment information. Data entered in these fields is not covered by PCI DSS compliance.