Get the free Missouri Minor (Child) Power of Attorney
Show details
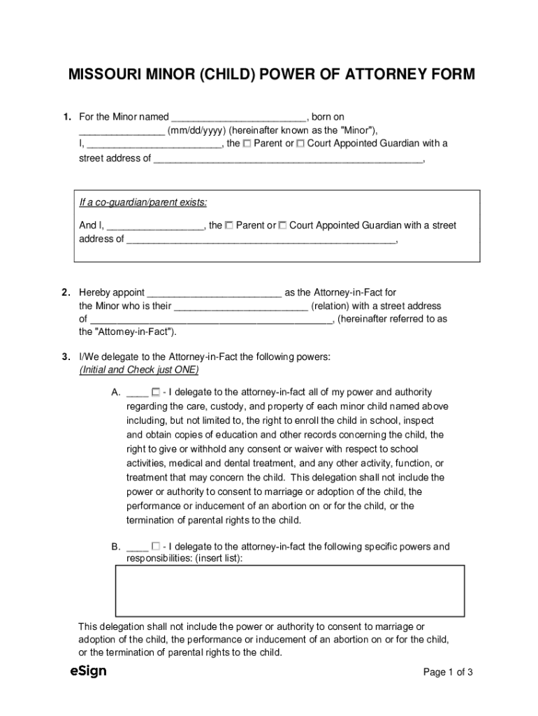
MISSOURI MINOR (CHILD) POWER OF ATTORNEY FORM
1. For the Minor named ___, born on
___ (mm/dd/YYY) (hereinafter known as the \” Minor\”),
I, ___, the Parent or Court Appointed Guardian with a
street
We are not affiliated with any brand or entity on this form
Get, Create, Make and Sign missouri minor child power
Edit your missouri minor child power form online
Type text, complete fillable fields, insert images, highlight or blackout data for discretion, add comments, and more.
Add your legally-binding signature
Draw or type your signature, upload a signature image, or capture it with your digital camera.
Share your form instantly
Email, fax, or share your missouri minor child power form via URL. You can also download, print, or export forms to your preferred cloud storage service.
Editing missouri minor child power online
Follow the steps below to take advantage of the professional PDF editor:
1
Create an account. Begin by choosing Start Free Trial and, if you are a new user, establish a profile.
2
Prepare a file. Use the Add New button. Then upload your file to the system from your device, importing it from internal mail, the cloud, or by adding its URL.
3
Edit missouri minor child power. Rearrange and rotate pages, add and edit text, and use additional tools. To save changes and return to your Dashboard, click Done. The Documents tab allows you to merge, divide, lock, or unlock files.
4
Get your file. Select your file from the documents list and pick your export method. You may save it as a PDF, email it, or upload it to the cloud.
Dealing with documents is always simple with pdfFiller. Try it right now
Uncompromising security for your PDF editing and eSignature needs
Your private information is safe with pdfFiller. We employ end-to-end encryption, secure cloud storage, and advanced access control to protect your documents and maintain regulatory compliance.
How to fill out missouri minor child power
How to fill out missouri minor child power
01
Obtain the required form for a Missouri minor child power of attorney.
02
Fill out the personal information of the adult granting power of attorney.
03
Provide the personal information of the minor child for whom the power of attorney is being granted.
04
Specify the powers being granted to the attorney-in-fact.
05
Sign the form in the presence of a notary public or witnesses as required by Missouri law.
Who needs missouri minor child power?
01
Parents who will be temporarily separated from their minor child due to travel or other circumstances.
02
Legal guardians who need to delegate decision-making authority for their minor child.
Fill
form
: Try Risk Free
For pdfFiller’s FAQs
Below is a list of the most common customer questions. If you can’t find an answer to your question, please don’t hesitate to reach out to us.
Where do I find missouri minor child power?
It’s easy with pdfFiller, a comprehensive online solution for professional document management. Access our extensive library of online forms (over 25M fillable forms are available) and locate the missouri minor child power in a matter of seconds. Open it right away and start customizing it using advanced editing features.
Can I create an electronic signature for signing my missouri minor child power in Gmail?
You may quickly make your eSignature using pdfFiller and then eSign your missouri minor child power right from your mailbox using pdfFiller's Gmail add-on. Please keep in mind that in order to preserve your signatures and signed papers, you must first create an account.
Can I edit missouri minor child power on an Android device?
You can. With the pdfFiller Android app, you can edit, sign, and distribute missouri minor child power from anywhere with an internet connection. Take use of the app's mobile capabilities.
What is missouri minor child power?
Missouri minor child power is a legal document that allows a parent or guardian to designate another individual to make decisions on behalf of their minor child.
Who is required to file missouri minor child power?
Any parent or guardian who wishes to designate another individual to make decisions on behalf of their minor child is required to file Missouri minor child power.
How to fill out missouri minor child power?
Missouri minor child power can be filled out by specifying the designated individual and signing the document in the presence of a notary public.
What is the purpose of missouri minor child power?
The purpose of Missouri minor child power is to ensure that decisions regarding the minor child's health, education, and welfare can be made by a designated individual when the parent or guardian is unable to do so.
What information must be reported on missouri minor child power?
The information that must be reported on Missouri minor child power includes the names and addresses of the parent/guardian, the designated individual, and the minor child, as well as the specific powers granted to the designated individual.
Fill out your missouri minor child power online with pdfFiller!
pdfFiller is an end-to-end solution for managing, creating, and editing documents and forms in the cloud. Save time and hassle by preparing your tax forms online.
Missouri Minor Child Power is not the form you're looking for?Search for another form here.
Relevant keywords
Related Forms
If you believe that this page should be taken down, please follow our DMCA take down process
here
.
This form may include fields for payment information. Data entered in these fields is not covered by PCI DSS compliance.