Get the free Brooklyn College Transfer Agreement Spanish-English ...
Show details
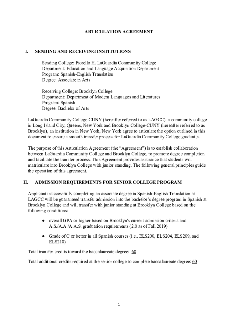
ARTICULATION AGREEMENT.SENDING AND RECEIVING INSTITUTIONS
Sending College: Fiorella H. LaGuardia Community College
Department: Education and Language Acquisition Department
Program: Spanish English
We are not affiliated with any brand or entity on this form
Get, Create, Make and Sign brooklyn college transfer agreement
Edit your brooklyn college transfer agreement form online
Type text, complete fillable fields, insert images, highlight or blackout data for discretion, add comments, and more.
Add your legally-binding signature
Draw or type your signature, upload a signature image, or capture it with your digital camera.
Share your form instantly
Email, fax, or share your brooklyn college transfer agreement form via URL. You can also download, print, or export forms to your preferred cloud storage service.
How to edit brooklyn college transfer agreement online
Follow the steps down below to benefit from a competent PDF editor:
1
Log in. Click Start Free Trial and create a profile if necessary.
2
Upload a file. Select Add New on your Dashboard and upload a file from your device or import it from the cloud, online, or internal mail. Then click Edit.
3
Edit brooklyn college transfer agreement. Text may be added and replaced, new objects can be included, pages can be rearranged, watermarks and page numbers can be added, and so on. When you're done editing, click Done and then go to the Documents tab to combine, divide, lock, or unlock the file.
4
Get your file. Select the name of your file in the docs list and choose your preferred exporting method. You can download it as a PDF, save it in another format, send it by email, or transfer it to the cloud.
pdfFiller makes working with documents easier than you could ever imagine. Register for an account and see for yourself!
Uncompromising security for your PDF editing and eSignature needs
Your private information is safe with pdfFiller. We employ end-to-end encryption, secure cloud storage, and advanced access control to protect your documents and maintain regulatory compliance.
How to fill out brooklyn college transfer agreement
How to fill out brooklyn college transfer agreement
01
Obtain a copy of the transfer agreement form from the Brooklyn College website or admissions office.
02
Fill out all required personal information, including name, address, phone number, and student ID number.
03
Select the courses you have completed at your current institution that you wish to transfer to Brooklyn College.
04
Make sure to meet with an advisor to ensure that the courses you are transferring will count toward your degree requirements.
05
Submit the completed transfer agreement form to the appropriate department at Brooklyn College for review and approval.
Who needs brooklyn college transfer agreement?
01
Students who are transferring from another college or university to Brooklyn College.
02
Students who want to ensure that their previous coursework will count towards their degree requirements at Brooklyn College.
Fill
form
: Try Risk Free
For pdfFiller’s FAQs
Below is a list of the most common customer questions. If you can’t find an answer to your question, please don’t hesitate to reach out to us.
How do I execute brooklyn college transfer agreement online?
Completing and signing brooklyn college transfer agreement online is easy with pdfFiller. It enables you to edit original PDF content, highlight, blackout, erase and type text anywhere on a page, legally eSign your form, and much more. Create your free account and manage professional documents on the web.
How do I make changes in brooklyn college transfer agreement?
With pdfFiller, it's easy to make changes. Open your brooklyn college transfer agreement in the editor, which is very easy to use and understand. When you go there, you'll be able to black out and change text, write and erase, add images, draw lines, arrows, and more. You can also add sticky notes and text boxes.
How do I make edits in brooklyn college transfer agreement without leaving Chrome?
Get and add pdfFiller Google Chrome Extension to your browser to edit, fill out and eSign your brooklyn college transfer agreement, which you can open in the editor directly from a Google search page in just one click. Execute your fillable documents from any internet-connected device without leaving Chrome.
What is brooklyn college transfer agreement?
Brooklyn College transfer agreement is an agreement between Brooklyn College and another institution outlining the terms and conditions for transferring credits from one institution to another.
Who is required to file brooklyn college transfer agreement?
Students who are transferring credits from another institution to Brooklyn College are required to file the transfer agreement.
How to fill out brooklyn college transfer agreement?
To fill out Brooklyn College transfer agreement, students need to complete the necessary forms provided by both the sending and receiving institutions, and make sure all required information is accurately reported.
What is the purpose of brooklyn college transfer agreement?
The purpose of Brooklyn College transfer agreement is to ensure that credits earned at another institution are appropriately recognized and transferred to Brooklyn College.
What information must be reported on brooklyn college transfer agreement?
The transfer agreement must include information about the courses taken at the sending institution, grades received, and the equivalent courses at Brooklyn College.
Fill out your brooklyn college transfer agreement online with pdfFiller!
pdfFiller is an end-to-end solution for managing, creating, and editing documents and forms in the cloud. Save time and hassle by preparing your tax forms online.
Brooklyn College Transfer Agreement is not the form you're looking for?Search for another form here.
Relevant keywords
Related Forms
If you believe that this page should be taken down, please follow our DMCA take down process
here
.
This form may include fields for payment information. Data entered in these fields is not covered by PCI DSS compliance.