Get the free FAR/BAR Contract Considerations in the Time of COVID-19
Show details
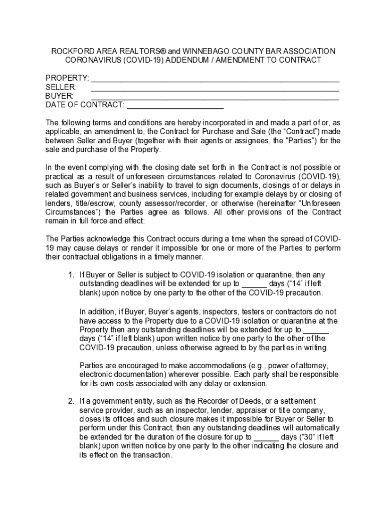
ROCKFORD AREA REALTORS and WINNEBAGO COUNTY BAR ASSOCIATION CORONAVIRUS (COVID-19) ADDENDUM / AMENDMENT TO CONTRACT PROPERTY: ___ SELLER: ___ BUYER: ___ DATE OF CONTRACT: ___ The following terms and
We are not affiliated with any brand or entity on this form
Get, Create, Make and Sign farbar contract considerations in
Edit your farbar contract considerations in form online
Type text, complete fillable fields, insert images, highlight or blackout data for discretion, add comments, and more.
Add your legally-binding signature
Draw or type your signature, upload a signature image, or capture it with your digital camera.
Share your form instantly
Email, fax, or share your farbar contract considerations in form via URL. You can also download, print, or export forms to your preferred cloud storage service.
Editing farbar contract considerations in online
Use the instructions below to start using our professional PDF editor:
1
Log in to account. Click on Start Free Trial and sign up a profile if you don't have one yet.
2
Simply add a document. Select Add New from your Dashboard and import a file into the system by uploading it from your device or importing it via the cloud, online, or internal mail. Then click Begin editing.
3
Edit farbar contract considerations in. Rearrange and rotate pages, insert new and alter existing texts, add new objects, and take advantage of other helpful tools. Click Done to apply changes and return to your Dashboard. Go to the Documents tab to access merging, splitting, locking, or unlocking functions.
4
Get your file. Select your file from the documents list and pick your export method. You may save it as a PDF, email it, or upload it to the cloud.
pdfFiller makes working with documents easier than you could ever imagine. Register for an account and see for yourself!
Uncompromising security for your PDF editing and eSignature needs
Your private information is safe with pdfFiller. We employ end-to-end encryption, secure cloud storage, and advanced access control to protect your documents and maintain regulatory compliance.
How to fill out farbar contract considerations in
How to fill out farbar contract considerations in
01
Read through the Farbar contract carefully to understand all the terms and conditions.
02
Fill in the relevant sections with accurate information, such as the names of the parties involved, property details, and payment terms.
03
Consider seeking legal advice if you are unsure about any aspects of the contract.
04
Sign and date the contract once all the necessary information has been filled out.
Who needs farbar contract considerations in?
01
Anyone involved in a real estate transaction in Florida may need Farbar contract considerations, as it is a commonly used form for buying and selling property in the state.
Fill
form
: Try Risk Free
For pdfFiller’s FAQs
Below is a list of the most common customer questions. If you can’t find an answer to your question, please don’t hesitate to reach out to us.
How can I send farbar contract considerations in for eSignature?
Once you are ready to share your farbar contract considerations in, you can easily send it to others and get the eSigned document back just as quickly. Share your PDF by email, fax, text message, or USPS mail, or notarize it online. You can do all of this without ever leaving your account.
How can I edit farbar contract considerations in on a smartphone?
You can do so easily with pdfFiller’s applications for iOS and Android devices, which can be found at the Apple Store and Google Play Store, respectively. Alternatively, you can get the app on our web page: https://edit-pdf-ios-android.pdffiller.com/. Install the application, log in, and start editing farbar contract considerations in right away.
How do I fill out the farbar contract considerations in form on my smartphone?
Use the pdfFiller mobile app to fill out and sign farbar contract considerations in on your phone or tablet. Visit our website to learn more about our mobile apps, how they work, and how to get started.
What is farbar contract considerations in?
Farbar contract considerations refer to the financial aspects and terms included in the Florida Realtors/Florida Bar Residential Contract.
Who is required to file farbar contract considerations in?
Both buyers and sellers involved in a real estate transaction in Florida are required to fill out farbar contract considerations.
How to fill out farbar contract considerations in?
Farbar contract considerations can be filled out by completing the designated sections in the Florida Realtors/Florida Bar Residential Contract form.
What is the purpose of farbar contract considerations in?
The purpose of including farbar contract considerations is to outline the financial terms, conditions, and obligations agreed upon by the parties involved in a real estate transaction.
What information must be reported on farbar contract considerations in?
Information such as the purchase price, deposit amount, financing terms, closing date, and any contingencies or special provisions must be reported on farbar contract considerations.
Fill out your farbar contract considerations in online with pdfFiller!
pdfFiller is an end-to-end solution for managing, creating, and editing documents and forms in the cloud. Save time and hassle by preparing your tax forms online.
Farbar Contract Considerations In is not the form you're looking for?Search for another form here.
Relevant keywords
Related Forms
If you believe that this page should be taken down, please follow our DMCA take down process
here
.
This form may include fields for payment information. Data entered in these fields is not covered by PCI DSS compliance.