Get the free Get MDEG Administrator Form - Nevada State Board Of ... - bop nv
Show details
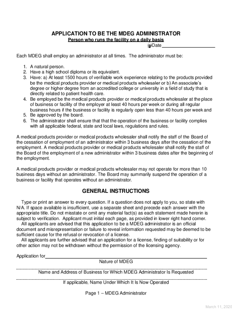
APPLICATION TO BE THE MEG ADMINISTRATOR Person who runs the facility on a daily basis Date Each MEG shall employ an administrator at all times. The administrator must be: 1. A natural person. 2. Have
We are not affiliated with any brand or entity on this form
Get, Create, Make and Sign get mdeg administrator form
Edit your get mdeg administrator form form online
Type text, complete fillable fields, insert images, highlight or blackout data for discretion, add comments, and more.
Add your legally-binding signature
Draw or type your signature, upload a signature image, or capture it with your digital camera.
Share your form instantly
Email, fax, or share your get mdeg administrator form form via URL. You can also download, print, or export forms to your preferred cloud storage service.
How to edit get mdeg administrator form online
Use the instructions below to start using our professional PDF editor:
1
Create an account. Begin by choosing Start Free Trial and, if you are a new user, establish a profile.
2
Prepare a file. Use the Add New button. Then upload your file to the system from your device, importing it from internal mail, the cloud, or by adding its URL.
3
Edit get mdeg administrator form. Add and replace text, insert new objects, rearrange pages, add watermarks and page numbers, and more. Click Done when you are finished editing and go to the Documents tab to merge, split, lock or unlock the file.
4
Get your file. Select your file from the documents list and pick your export method. You may save it as a PDF, email it, or upload it to the cloud.
With pdfFiller, dealing with documents is always straightforward.
Uncompromising security for your PDF editing and eSignature needs
Your private information is safe with pdfFiller. We employ end-to-end encryption, secure cloud storage, and advanced access control to protect your documents and maintain regulatory compliance.
How to fill out get mdeg administrator form
How to fill out get mdeg administrator form
01
Fill out your personal information including name, address, phone number, and email.
02
Provide details about your educational background and qualifications.
03
Indicate the reason for applying for the MDEG administrator position.
04
Include any relevant experience or skills that make you suitable for the role.
05
Sign and date the form before submitting it to the appropriate department.
Who needs get mdeg administrator form?
01
Individuals who are interested in applying for the MDEG administrator position.
Fill
form
: Try Risk Free
For pdfFiller’s FAQs
Below is a list of the most common customer questions. If you can’t find an answer to your question, please don’t hesitate to reach out to us.
How can I send get mdeg administrator form to be eSigned by others?
Once you are ready to share your get mdeg administrator form, you can easily send it to others and get the eSigned document back just as quickly. Share your PDF by email, fax, text message, or USPS mail, or notarize it online. You can do all of this without ever leaving your account.
Can I sign the get mdeg administrator form electronically in Chrome?
Yes. By adding the solution to your Chrome browser, you may use pdfFiller to eSign documents while also enjoying all of the PDF editor's capabilities in one spot. Create a legally enforceable eSignature by sketching, typing, or uploading a photo of your handwritten signature using the extension. Whatever option you select, you'll be able to eSign your get mdeg administrator form in seconds.
How do I edit get mdeg administrator form straight from my smartphone?
The pdfFiller apps for iOS and Android smartphones are available in the Apple Store and Google Play Store. You may also get the program at https://edit-pdf-ios-android.pdffiller.com/. Open the web app, sign in, and start editing get mdeg administrator form.
What is get mdeg administrator form?
The get mdeg administrator form is a document that allows individuals to apply for administrator rights in the system.
Who is required to file get mdeg administrator form?
Individuals who need to access or manage certain settings within the system are required to file the get mdeg administrator form.
How to fill out get mdeg administrator form?
The get mdeg administrator form can be filled out by providing personal information, identifying the specific permissions needed, and submitting the form to the designated administrator.
What is the purpose of get mdeg administrator form?
The purpose of the get mdeg administrator form is to streamline the process of granting administrator privileges to individuals who require them.
What information must be reported on get mdeg administrator form?
The get mdeg administrator form requires information such as the individual's name, contact information, reason for needing administrator rights, and any relevant qualifications.
Fill out your get mdeg administrator form online with pdfFiller!
pdfFiller is an end-to-end solution for managing, creating, and editing documents and forms in the cloud. Save time and hassle by preparing your tax forms online.
Get Mdeg Administrator Form is not the form you're looking for?Search for another form here.
Relevant keywords
Related Forms
If you believe that this page should be taken down, please follow our DMCA take down process
here
.
This form may include fields for payment information. Data entered in these fields is not covered by PCI DSS compliance.