Get the free Coronavirus has upended education for all children. For ...
Show details
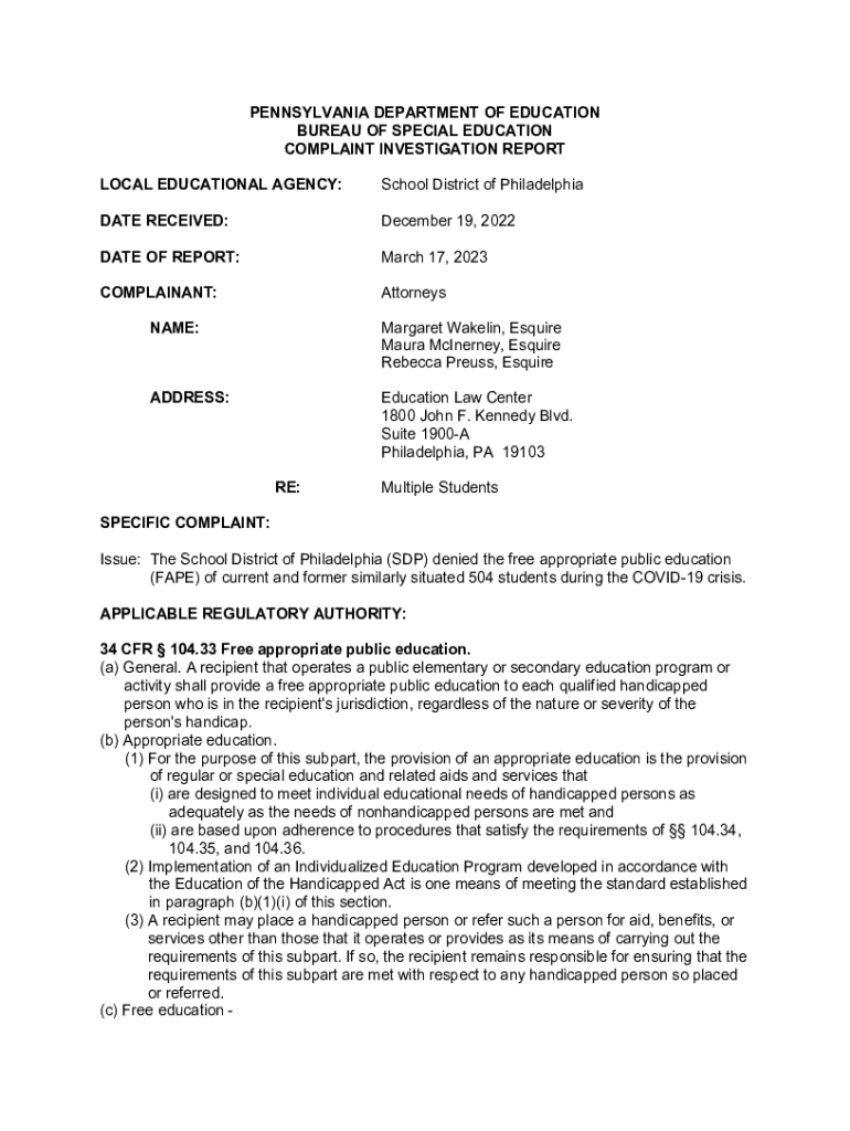
PENNSYLVANIA DEPARTMENT OF EDUCATION
BUREAU OF SPECIAL EDUCATION
COMPLAINT INVESTIGATION REPORT
LOCAL EDUCATIONAL AGENCY:School District of PhiladelphiaDATE RECEIVED:December 19, 2022DATE OF REPORT:March
We are not affiliated with any brand or entity on this form
Get, Create, Make and Sign coronavirus has upended education
Edit your coronavirus has upended education form online
Type text, complete fillable fields, insert images, highlight or blackout data for discretion, add comments, and more.
Add your legally-binding signature
Draw or type your signature, upload a signature image, or capture it with your digital camera.
Share your form instantly
Email, fax, or share your coronavirus has upended education form via URL. You can also download, print, or export forms to your preferred cloud storage service.
How to edit coronavirus has upended education online
Use the instructions below to start using our professional PDF editor:
1
Log in to your account. Start Free Trial and sign up a profile if you don't have one.
2
Upload a document. Select Add New on your Dashboard and transfer a file into the system in one of the following ways: by uploading it from your device or importing from the cloud, web, or internal mail. Then, click Start editing.
3
Edit coronavirus has upended education. Rearrange and rotate pages, add new and changed texts, add new objects, and use other useful tools. When you're done, click Done. You can use the Documents tab to merge, split, lock, or unlock your files.
4
Get your file. Select your file from the documents list and pick your export method. You may save it as a PDF, email it, or upload it to the cloud.
pdfFiller makes dealing with documents a breeze. Create an account to find out!
Uncompromising security for your PDF editing and eSignature needs
Your private information is safe with pdfFiller. We employ end-to-end encryption, secure cloud storage, and advanced access control to protect your documents and maintain regulatory compliance.
How to fill out coronavirus has upended education
How to fill out coronavirus has upended education
01
Stay informed about the latest guidelines from health authorities regarding COVID-19.
02
Implement remote learning strategies and resources for students to continue their education from home.
03
Regularly communicate with students, parents, and staff members about any updates or changes to the education system.
04
Utilize online platforms and tools for assignments, assessments, and interactive lessons.
05
Provide support and resources for students who may struggle with remote learning or lack access to technology.
06
Collaborate with other educators and school staff to share best practices and adapt to the changing circumstances.
07
Stay flexible and prioritize the health and safety of students and staff members during this time.
Who needs coronavirus has upended education?
01
Students at all levels of education who are unable to attend school in person due to the pandemic.
02
Teachers and educators who are navigating the challenges of delivering education remotely.
03
Parents and caregivers who are supporting their children's learning from home.
04
School administrators and policymakers who are making decisions about how to continue education during the pandemic.
Fill
form
: Try Risk Free
For pdfFiller’s FAQs
Below is a list of the most common customer questions. If you can’t find an answer to your question, please don’t hesitate to reach out to us.
How can I manage my coronavirus has upended education directly from Gmail?
You may use pdfFiller's Gmail add-on to change, fill out, and eSign your coronavirus has upended education as well as other documents directly in your inbox by using the pdfFiller add-on for Gmail. pdfFiller for Gmail may be found on the Google Workspace Marketplace. Use the time you would have spent dealing with your papers and eSignatures for more vital tasks instead.
How can I send coronavirus has upended education for eSignature?
When you're ready to share your coronavirus has upended education, you can swiftly email it to others and receive the eSigned document back. You may send your PDF through email, fax, text message, or USPS mail, or you can notarize it online. All of this may be done without ever leaving your account.
How do I fill out coronavirus has upended education on an Android device?
Complete coronavirus has upended education and other documents on your Android device with the pdfFiller app. The software allows you to modify information, eSign, annotate, and share files. You may view your papers from anywhere with an internet connection.
What is coronavirus has upended education?
Coronavirus has upended education by forcing schools to close and shifting to online learning.
Who is required to file coronavirus has upended education?
School administrators, teachers, and education officials are required to file information related to coronavirus upended education.
How to fill out coronavirus has upended education?
To fill out information related to coronavirus upended education, individuals can use online forms provided by education institutions or government agencies.
What is the purpose of coronavirus has upended education?
The purpose of reporting on coronavirus upended education is to track the impact of the pandemic on the education system and implement necessary changes.
What information must be reported on coronavirus has upended education?
Information such as number of students affected, changes in curriculum delivery, and resources allocated for online learning must be reported on coronavirus upended education.
Fill out your coronavirus has upended education online with pdfFiller!
pdfFiller is an end-to-end solution for managing, creating, and editing documents and forms in the cloud. Save time and hassle by preparing your tax forms online.
Coronavirus Has Upended Education is not the form you're looking for?Search for another form here.
Relevant keywords
Related Forms
If you believe that this page should be taken down, please follow our DMCA take down process
here
.
This form may include fields for payment information. Data entered in these fields is not covered by PCI DSS compliance.