
Get the free ON MY WAY PRE-K Program Provider Agreement Form
Show details
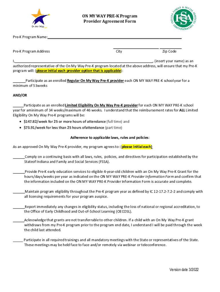
ON MY WAY PREY Program Provider Agreement Form Prey Program Name: Prey Program AddressCityZip Code, (insert your name) as an authorized representative of the On My Way Prey program located at the
We are not affiliated with any brand or entity on this form
Get, Create, Make and Sign on my way pre-k

Edit your on my way pre-k form online
Type text, complete fillable fields, insert images, highlight or blackout data for discretion, add comments, and more.

Add your legally-binding signature
Draw or type your signature, upload a signature image, or capture it with your digital camera.

Share your form instantly
Email, fax, or share your on my way pre-k form via URL. You can also download, print, or export forms to your preferred cloud storage service.
Editing on my way pre-k online
To use our professional PDF editor, follow these steps:
1
Register the account. Begin by clicking Start Free Trial and create a profile if you are a new user.
2
Prepare a file. Use the Add New button to start a new project. Then, using your device, upload your file to the system by importing it from internal mail, the cloud, or adding its URL.
3
Edit on my way pre-k. Replace text, adding objects, rearranging pages, and more. Then select the Documents tab to combine, divide, lock or unlock the file.
4
Get your file. Select your file from the documents list and pick your export method. You may save it as a PDF, email it, or upload it to the cloud.
It's easier to work with documents with pdfFiller than you could have ever thought. Sign up for a free account to view.
Uncompromising security for your PDF editing and eSignature needs
Your private information is safe with pdfFiller. We employ end-to-end encryption, secure cloud storage, and advanced access control to protect your documents and maintain regulatory compliance.
How to fill out on my way pre-k

How to fill out on my way pre-k
01
Visit the On My Way Pre-K website or contact your local On My Way Pre-K provider
02
Fill out the application form with all required information such as child's name, date of birth, address, parent/guardian information, etc.
03
Provide any additional documentation required, such as proof of income or residency
04
Submit the completed application either online, in person, or by mail
05
Wait for approval and enrollment information from the On My Way Pre-K program
Who needs on my way pre-k?
01
Families with children who will be 4 years old by August 1st of the current year
02
Families who meet income eligibility requirements
03
Families who reside in Indiana
Fill
form
: Try Risk Free
For pdfFiller’s FAQs
Below is a list of the most common customer questions. If you can’t find an answer to your question, please don’t hesitate to reach out to us.
How can I get on my way pre-k?
The pdfFiller premium subscription gives you access to a large library of fillable forms (over 25 million fillable templates) that you can download, fill out, print, and sign. In the library, you'll have no problem discovering state-specific on my way pre-k and other forms. Find the template you want and tweak it with powerful editing tools.
How do I make changes in on my way pre-k?
pdfFiller allows you to edit not only the content of your files, but also the quantity and sequence of the pages. Upload your on my way pre-k to the editor and make adjustments in a matter of seconds. Text in PDFs may be blacked out, typed in, and erased using the editor. You may also include photos, sticky notes, and text boxes, among other things.
How do I complete on my way pre-k on an Android device?
Use the pdfFiller mobile app to complete your on my way pre-k on an Android device. The application makes it possible to perform all needed document management manipulations, like adding, editing, and removing text, signing, annotating, and more. All you need is your smartphone and an internet connection.
What is on my way pre-k?
On My Way Pre-K is a state-funded prekindergarten program for children ages 4 to 5 in Indiana.
Who is required to file on my way pre-k?
Parents or legal guardians are required to file for On My Way Pre-K for their eligible children.
How to fill out on my way pre-k?
To fill out On My Way Pre-K, parents or legal guardians must visit the official website and complete the online application form.
What is the purpose of on my way pre-k?
The purpose of On My Way Pre-K is to provide high-quality prekindergarten education for eligible children to help them prepare for kindergarten.
What information must be reported on on my way pre-k?
Information such as child's name, date of birth, parent/guardian contact information, and household income must be reported on the On My Way Pre-K application.
Fill out your on my way pre-k online with pdfFiller!
pdfFiller is an end-to-end solution for managing, creating, and editing documents and forms in the cloud. Save time and hassle by preparing your tax forms online.

On My Way Pre-K is not the form you're looking for?Search for another form here.
Relevant keywords
Related Forms
If you believe that this page should be taken down, please follow our DMCA take down process
here
.
This form may include fields for payment information. Data entered in these fields is not covered by PCI DSS compliance.