
Get the free Kinesiology Tape Permission Form
Show details
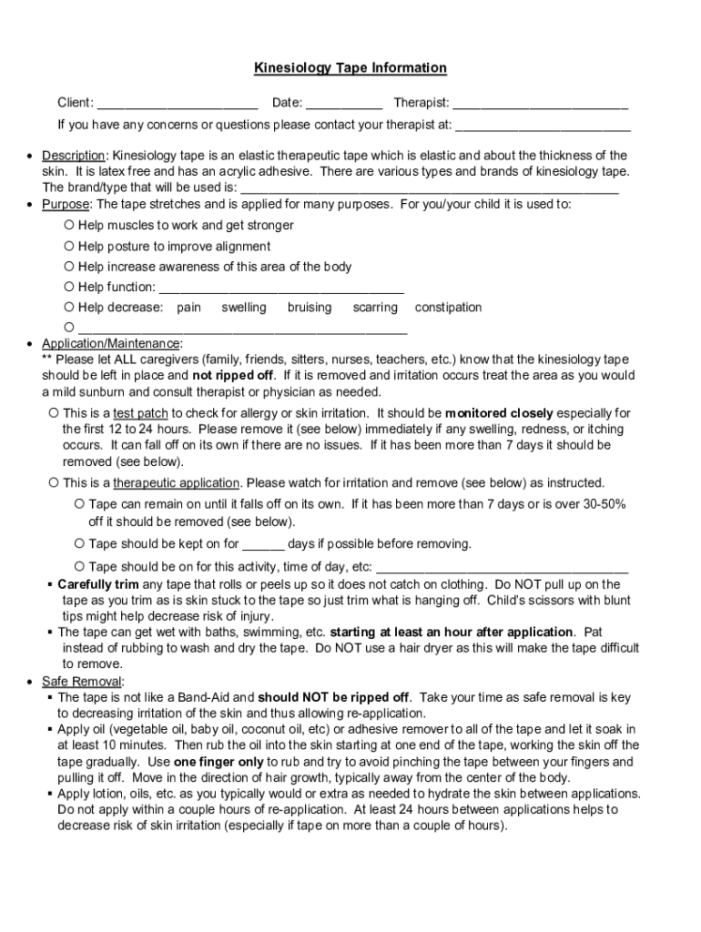
Kinesiology Tape Information Client: ___Date: ___ Therapist: ___If you have any concerns or questions please contact your therapist at: ___ Description: Kinesiology tape is an elastic therapeutic
We are not affiliated with any brand or entity on this form
Get, Create, Make and Sign kinesiology tape permission form

Edit your kinesiology tape permission form form online
Type text, complete fillable fields, insert images, highlight or blackout data for discretion, add comments, and more.

Add your legally-binding signature
Draw or type your signature, upload a signature image, or capture it with your digital camera.

Share your form instantly
Email, fax, or share your kinesiology tape permission form form via URL. You can also download, print, or export forms to your preferred cloud storage service.
Editing kinesiology tape permission form online
Here are the steps you need to follow to get started with our professional PDF editor:
1
Log in to your account. Start Free Trial and sign up a profile if you don't have one.
2
Prepare a file. Use the Add New button to start a new project. Then, using your device, upload your file to the system by importing it from internal mail, the cloud, or adding its URL.
3
Edit kinesiology tape permission form. Text may be added and replaced, new objects can be included, pages can be rearranged, watermarks and page numbers can be added, and so on. When you're done editing, click Done and then go to the Documents tab to combine, divide, lock, or unlock the file.
4
Save your file. Select it in the list of your records. Then, move the cursor to the right toolbar and choose one of the available exporting methods: save it in multiple formats, download it as a PDF, send it by email, or store it in the cloud.
pdfFiller makes dealing with documents a breeze. Create an account to find out!
Uncompromising security for your PDF editing and eSignature needs
Your private information is safe with pdfFiller. We employ end-to-end encryption, secure cloud storage, and advanced access control to protect your documents and maintain regulatory compliance.
How to fill out kinesiology tape permission form

How to fill out kinesiology tape permission form
01
Obtain a copy of the kinesiology tape permission form from the appropriate source.
02
Fill out your personal information, such as name, address, and contact details.
03
Provide information about your medical history and any relevant health conditions.
04
Specify the reason for using kinesiology tape and the target area on your body.
05
Sign and date the form to indicate your consent and agreement to use the kinesiology tape.
Who needs kinesiology tape permission form?
01
Athletes who are using kinesiology tape for injury prevention or performance enhancement.
02
Patients who are undergoing physical therapy and require kinesiology tape for rehabilitation purposes.
03
Individuals who have chronic pain or muscle discomfort and are seeking relief through kinesiology tape.
Fill
form
: Try Risk Free
For pdfFiller’s FAQs
Below is a list of the most common customer questions. If you can’t find an answer to your question, please don’t hesitate to reach out to us.
How do I modify my kinesiology tape permission form in Gmail?
Using pdfFiller's Gmail add-on, you can edit, fill out, and sign your kinesiology tape permission form and other papers directly in your email. You may get it through Google Workspace Marketplace. Make better use of your time by handling your papers and eSignatures.
How can I edit kinesiology tape permission form from Google Drive?
By integrating pdfFiller with Google Docs, you can streamline your document workflows and produce fillable forms that can be stored directly in Google Drive. Using the connection, you will be able to create, change, and eSign documents, including kinesiology tape permission form, all without having to leave Google Drive. Add pdfFiller's features to Google Drive and you'll be able to handle your documents more effectively from any device with an internet connection.
Can I create an electronic signature for the kinesiology tape permission form in Chrome?
Yes, you can. With pdfFiller, you not only get a feature-rich PDF editor and fillable form builder but a powerful e-signature solution that you can add directly to your Chrome browser. Using our extension, you can create your legally-binding eSignature by typing, drawing, or capturing a photo of your signature using your webcam. Choose whichever method you prefer and eSign your kinesiology tape permission form in minutes.
What is kinesiology tape permission form?
The kinesiology tape permission form is a document that grants permission for the use of kinesiology tape for medical or therapeutic purposes.
Who is required to file kinesiology tape permission form?
Athletes, patients, or individuals who are receiving kinesiology tape treatment are required to file the permission form.
How to fill out kinesiology tape permission form?
To fill out the kinesiology tape permission form, one must provide personal information, describe the reason for using kinesiology tape, and sign the document.
What is the purpose of kinesiology tape permission form?
The purpose of the kinesiology tape permission form is to ensure that the individual undergoing treatment is informed about the use of kinesiology tape and consents to its application.
What information must be reported on kinesiology tape permission form?
The kinesiology tape permission form must include the individual's name, contact information, medical history, reason for treatment, consent to use kinesiology tape, and signature.
Fill out your kinesiology tape permission form online with pdfFiller!
pdfFiller is an end-to-end solution for managing, creating, and editing documents and forms in the cloud. Save time and hassle by preparing your tax forms online.

Kinesiology Tape Permission Form is not the form you're looking for?Search for another form here.
Relevant keywords
Related Forms
If you believe that this page should be taken down, please follow our DMCA take down process
here
.
This form may include fields for payment information. Data entered in these fields is not covered by PCI DSS compliance.