
Get the free Title Page State of Florida Department of Health Pinellas ...
Show details
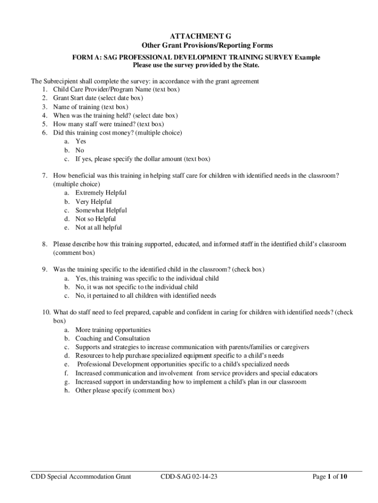
ATTACHMENT G Other Grant Provisions/Reporting Forms FORM A: SAG PROFESSIONAL DEVELOPMENT TRAINING SURVEY Example Please use the survey provided by the State. The Subrecipient shall complete the survey:
We are not affiliated with any brand or entity on this form
Get, Create, Make and Sign title page state of

Edit your title page state of form online
Type text, complete fillable fields, insert images, highlight or blackout data for discretion, add comments, and more.

Add your legally-binding signature
Draw or type your signature, upload a signature image, or capture it with your digital camera.

Share your form instantly
Email, fax, or share your title page state of form via URL. You can also download, print, or export forms to your preferred cloud storage service.
How to edit title page state of online
Follow the steps down below to take advantage of the professional PDF editor:
1
Log into your account. In case you're new, it's time to start your free trial.
2
Upload a document. Select Add New on your Dashboard and transfer a file into the system in one of the following ways: by uploading it from your device or importing from the cloud, web, or internal mail. Then, click Start editing.
3
Edit title page state of. Add and change text, add new objects, move pages, add watermarks and page numbers, and more. Then click Done when you're done editing and go to the Documents tab to merge or split the file. If you want to lock or unlock the file, click the lock or unlock button.
4
Get your file. Select your file from the documents list and pick your export method. You may save it as a PDF, email it, or upload it to the cloud.
Dealing with documents is always simple with pdfFiller.
Uncompromising security for your PDF editing and eSignature needs
Your private information is safe with pdfFiller. We employ end-to-end encryption, secure cloud storage, and advanced access control to protect your documents and maintain regulatory compliance.
How to fill out title page state of

How to fill out title page state of
01
Begin by writing the title of your document in the center of the page, using a larger font size to make it stand out.
02
Include any subtitles or additional information below the main title, also centered on the page.
03
Add the author's name or organization beneath the title, aligned to the center or right side of the page.
04
Include the date of submission or publication at the bottom of the title page, aligned to the center or right side.
Who needs title page state of?
01
Students writing research papers or reports
02
Authors submitting manuscripts for publication
03
Business professionals creating formal documents
04
Anyone looking to present a document in a professional manner
Fill
form
: Try Risk Free
For pdfFiller’s FAQs
Below is a list of the most common customer questions. If you can’t find an answer to your question, please don’t hesitate to reach out to us.
How can I get title page state of?
It's simple using pdfFiller, an online document management tool. Use our huge online form collection (over 25M fillable forms) to quickly discover the title page state of. Open it immediately and start altering it with sophisticated capabilities.
How do I make changes in title page state of?
pdfFiller not only lets you change the content of your files, but you can also change the number and order of pages. Upload your title page state of to the editor and make any changes in a few clicks. The editor lets you black out, type, and erase text in PDFs. You can also add images, sticky notes, and text boxes, as well as many other things.
How can I fill out title page state of on an iOS device?
Install the pdfFiller app on your iOS device to fill out papers. Create an account or log in if you already have one. After registering, upload your title page state of. You may now use pdfFiller's advanced features like adding fillable fields and eSigning documents from any device, anywhere.
What is title page state of?
Title page state of refers to the document that officially registers the title of a property with the state government.
Who is required to file title page state of?
Property owners or their authorized representatives are required to file the title page state of.
How to fill out title page state of?
Title page state of can typically be filled out online through the state government's website or in person at a government office.
What is the purpose of title page state of?
The purpose of title page state of is to officially record and establish ownership of a property.
What information must be reported on title page state of?
Information such as the property owner's name, address, legal description of the property, and any liens or encumbrances on the property must be reported on the title page state of.
Fill out your title page state of online with pdfFiller!
pdfFiller is an end-to-end solution for managing, creating, and editing documents and forms in the cloud. Save time and hassle by preparing your tax forms online.

Title Page State Of is not the form you're looking for?Search for another form here.
Relevant keywords
Related Forms
If you believe that this page should be taken down, please follow our DMCA take down process
here
.
This form may include fields for payment information. Data entered in these fields is not covered by PCI DSS compliance.