Get the free Are Your Medical Expenses Up Only 5% from Year Ago?
Show details
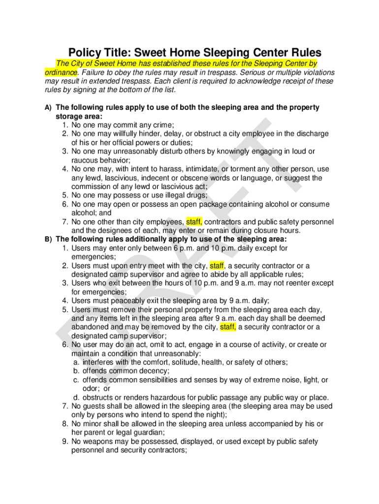
Policy Title: Sweet Home Sleeping Center Rules The City of Sweet Home has established these rules for the Sleeping Center by ordinance. Failure to obey the rules may result in trespass. Serious or
We are not affiliated with any brand or entity on this form
Get, Create, Make and Sign are your medical expenses
Edit your are your medical expenses form online
Type text, complete fillable fields, insert images, highlight or blackout data for discretion, add comments, and more.
Add your legally-binding signature
Draw or type your signature, upload a signature image, or capture it with your digital camera.
Share your form instantly
Email, fax, or share your are your medical expenses form via URL. You can also download, print, or export forms to your preferred cloud storage service.
How to edit are your medical expenses online
To use the professional PDF editor, follow these steps below:
1
Register the account. Begin by clicking Start Free Trial and create a profile if you are a new user.
2
Upload a document. Select Add New on your Dashboard and transfer a file into the system in one of the following ways: by uploading it from your device or importing from the cloud, web, or internal mail. Then, click Start editing.
3
Edit are your medical expenses. Rearrange and rotate pages, add and edit text, and use additional tools. To save changes and return to your Dashboard, click Done. The Documents tab allows you to merge, divide, lock, or unlock files.
4
Save your file. Choose it from the list of records. Then, shift the pointer to the right toolbar and select one of the several exporting methods: save it in multiple formats, download it as a PDF, email it, or save it to the cloud.
With pdfFiller, it's always easy to work with documents.
Uncompromising security for your PDF editing and eSignature needs
Your private information is safe with pdfFiller. We employ end-to-end encryption, secure cloud storage, and advanced access control to protect your documents and maintain regulatory compliance.
How to fill out are your medical expenses
How to fill out are your medical expenses
01
Gather all documentation related to your medical expenses such as bills, receipts, and insurance statements.
02
Organize the documents by date and type of expense (e.g. doctor visits, prescriptions, lab tests).
03
Make sure to include any out-of-pocket costs that were not covered by insurance.
04
Consider keeping a log or spreadsheet to track all expenses and make the process easier.
05
Double-check everything for accuracy before submitting to your insurance provider or using for tax purposes.
Who needs are your medical expenses?
01
Individuals who are seeking reimbursement from their insurance company for medical treatments or procedures.
02
Taxpayers who want to claim deductions for medical expenses on their annual tax return.
03
Patients who are applying for financial assistance or medical grants that require proof of incurred expenses.
Fill
form
: Try Risk Free
For pdfFiller’s FAQs
Below is a list of the most common customer questions. If you can’t find an answer to your question, please don’t hesitate to reach out to us.
How can I send are your medical expenses for eSignature?
Once your are your medical expenses is complete, you can securely share it with recipients and gather eSignatures with pdfFiller in just a few clicks. You may transmit a PDF by email, text message, fax, USPS mail, or online notarization directly from your account. Make an account right now and give it a go.
How do I execute are your medical expenses online?
pdfFiller has made filling out and eSigning are your medical expenses easy. The solution is equipped with a set of features that enable you to edit and rearrange PDF content, add fillable fields, and eSign the document. Start a free trial to explore all the capabilities of pdfFiller, the ultimate document editing solution.
How do I edit are your medical expenses online?
pdfFiller not only lets you change the content of your files, but you can also change the number and order of pages. Upload your are your medical expenses to the editor and make any changes in a few clicks. The editor lets you black out, type, and erase text in PDFs. You can also add images, sticky notes, and text boxes, as well as many other things.
What is are your medical expenses?
Medical expenses refer to costs related to healthcare services, treatments, and medications.
Who is required to file are your medical expenses?
Individuals who incurred medical expenses during the tax year and wish to claim them as deductions on their tax returns are required to file their medical expenses.
How to fill out are your medical expenses?
To fill out medical expenses, individuals should keep records of all healthcare expenses, including receipts and invoices, and report them accurately on their tax forms.
What is the purpose of are your medical expenses?
The purpose of medical expenses is to allow individuals to claim deductions for healthcare costs, reducing their taxable income.
What information must be reported on are your medical expenses?
Individuals must report detailed information about their medical expenses, including the type of service or treatment, the cost, and the date of the expense.
Fill out your are your medical expenses online with pdfFiller!
pdfFiller is an end-to-end solution for managing, creating, and editing documents and forms in the cloud. Save time and hassle by preparing your tax forms online.
Are Your Medical Expenses is not the form you're looking for?Search for another form here.
Relevant keywords
Related Forms
If you believe that this page should be taken down, please follow our DMCA take down process
here
.
This form may include fields for payment information. Data entered in these fields is not covered by PCI DSS compliance.