Get the free Event Waiver - The McMaster Social Sciences Society
Show details
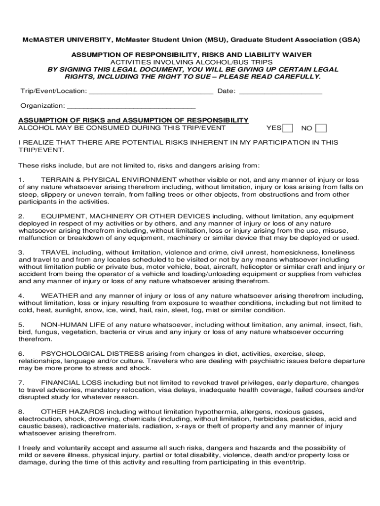
McMaster UNIVERSITY, McMaster Student Union (MSU), Graduate Student Association (GSA) ASSUMPTION OF RESPONSIBILITY, RISKS AND LIABILITY WAIVER ACTIVITIES INVOLVING ALCOHOL/BUS TRIPS BY SIGNING THIS
We are not affiliated with any brand or entity on this form
Get, Create, Make and Sign event waiver - form
Edit your event waiver - form form online
Type text, complete fillable fields, insert images, highlight or blackout data for discretion, add comments, and more.
Add your legally-binding signature
Draw or type your signature, upload a signature image, or capture it with your digital camera.
Share your form instantly
Email, fax, or share your event waiver - form form via URL. You can also download, print, or export forms to your preferred cloud storage service.
How to edit event waiver - form online
To use the services of a skilled PDF editor, follow these steps below:
1
Log in. Click Start Free Trial and create a profile if necessary.
2
Upload a file. Select Add New on your Dashboard and upload a file from your device or import it from the cloud, online, or internal mail. Then click Edit.
3
Edit event waiver - form. Replace text, adding objects, rearranging pages, and more. Then select the Documents tab to combine, divide, lock or unlock the file.
4
Save your file. Select it from your list of records. Then, move your cursor to the right toolbar and choose one of the exporting options. You can save it in multiple formats, download it as a PDF, send it by email, or store it in the cloud, among other things.
With pdfFiller, dealing with documents is always straightforward. Try it now!
Uncompromising security for your PDF editing and eSignature needs
Your private information is safe with pdfFiller. We employ end-to-end encryption, secure cloud storage, and advanced access control to protect your documents and maintain regulatory compliance.
How to fill out event waiver - form
How to fill out event waiver - form
01
Read the entire waiver form carefully to understand the terms and conditions.
02
Fill out all the required information such as name, contact details, and signature.
03
If applicable, provide emergency contact information.
04
Review the completed form to ensure accuracy and completeness.
05
Sign and date the form to acknowledge your consent to the terms outlined.
Who needs event waiver - form?
01
Anyone participating in an event or activity that poses potential risks or liabilities, such as sports events, outdoor adventures, or recreational activities, may be required to fill out an event waiver form.
Fill
form
: Try Risk Free
For pdfFiller’s FAQs
Below is a list of the most common customer questions. If you can’t find an answer to your question, please don’t hesitate to reach out to us.
How can I send event waiver - form for eSignature?
To distribute your event waiver - form, simply send it to others and receive the eSigned document back instantly. Post or email a PDF that you've notarized online. Doing so requires never leaving your account.
How do I fill out event waiver - form using my mobile device?
Use the pdfFiller mobile app to fill out and sign event waiver - form. Visit our website (https://edit-pdf-ios-android.pdffiller.com/) to learn more about our mobile applications, their features, and how to get started.
How do I edit event waiver - form on an iOS device?
Use the pdfFiller app for iOS to make, edit, and share event waiver - form from your phone. Apple's store will have it up and running in no time. It's possible to get a free trial and choose a subscription plan that fits your needs.
What is event waiver - form?
Event waiver form is a document that participants or attendees of an event are required to sign to waive certain rights or claims.
Who is required to file event waiver - form?
Participants or attendees of an event are required to file event waiver form.
How to fill out event waiver - form?
To fill out event waiver form, participants or attendees need to provide their personal information, signature, and agree to the terms and conditions set forth.
What is the purpose of event waiver - form?
The purpose of event waiver form is to protect the event organizers from liability in case of any accidents or injuries that may occur during the event.
What information must be reported on event waiver - form?
The event waiver form must include participant's name, contact information, emergency contact, medical information, signature, and date.
Fill out your event waiver - form online with pdfFiller!
pdfFiller is an end-to-end solution for managing, creating, and editing documents and forms in the cloud. Save time and hassle by preparing your tax forms online.
Event Waiver - Form is not the form you're looking for?Search for another form here.
Relevant keywords
Related Forms
If you believe that this page should be taken down, please follow our DMCA take down process
here
.
This form may include fields for payment information. Data entered in these fields is not covered by PCI DSS compliance.