Get the free Member's Waiver Release & Covenant Not To Sue
Show details
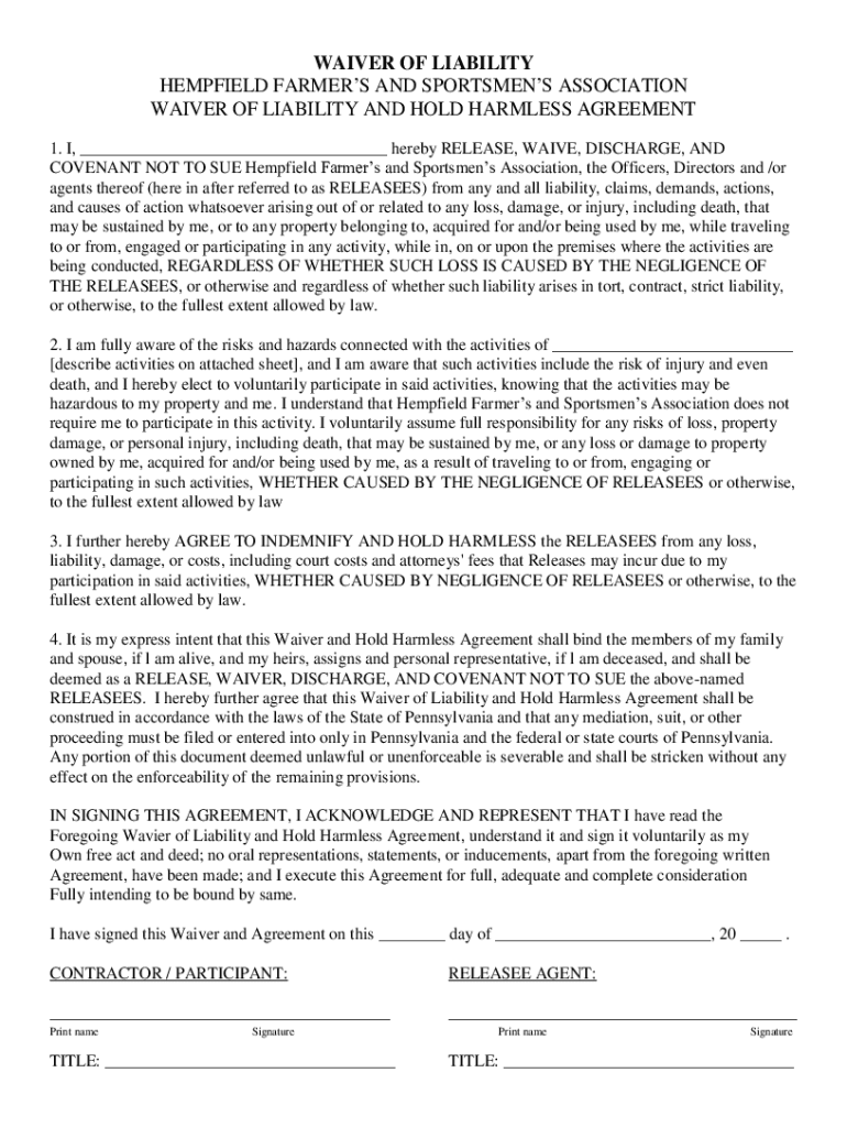
WAIVER OF LIABILITY HEMPFIELD FARMERS AND SPORTSMEN ASSOCIATION WAIVER OF LIABILITY AND HOLD HARMLESS AGREEMENT 1. I, ___ hereby RELEASE, WAIVE, DISCHARGE, AND COVENANT NOT TO SUE Hempfield Farmers
We are not affiliated with any brand or entity on this form
Get, Create, Make and Sign members waiver release ampamp
Edit your members waiver release ampamp form online
Type text, complete fillable fields, insert images, highlight or blackout data for discretion, add comments, and more.
Add your legally-binding signature
Draw or type your signature, upload a signature image, or capture it with your digital camera.
Share your form instantly
Email, fax, or share your members waiver release ampamp form via URL. You can also download, print, or export forms to your preferred cloud storage service.
Editing members waiver release ampamp online
Follow the guidelines below to benefit from a competent PDF editor:
1
Create an account. Begin by choosing Start Free Trial and, if you are a new user, establish a profile.
2
Simply add a document. Select Add New from your Dashboard and import a file into the system by uploading it from your device or importing it via the cloud, online, or internal mail. Then click Begin editing.
3
Edit members waiver release ampamp. Rearrange and rotate pages, add and edit text, and use additional tools. To save changes and return to your Dashboard, click Done. The Documents tab allows you to merge, divide, lock, or unlock files.
4
Get your file. Select the name of your file in the docs list and choose your preferred exporting method. You can download it as a PDF, save it in another format, send it by email, or transfer it to the cloud.
Dealing with documents is simple using pdfFiller.
Uncompromising security for your PDF editing and eSignature needs
Your private information is safe with pdfFiller. We employ end-to-end encryption, secure cloud storage, and advanced access control to protect your documents and maintain regulatory compliance.
How to fill out members waiver release ampamp
How to fill out members waiver release ampamp
01
Provide a clear and detailed explanation of the purpose of the waiver form.
02
Include fields for the member's personal information such as name, address, contact details, and emergency contact.
03
Clearly outline the risks involved in the activity or service for which the waiver is being signed.
04
Include a statement releasing your organization from liability for any injuries or damages that may occur during the member's participation.
05
Provide a section for the member to sign and date the waiver form.
Who needs members waiver release ampamp?
01
Anyone engaging in activities or services that involve potential risks, such as sports clubs, fitness centers, adventure tourism companies, and event organizers.
Fill
form
: Try Risk Free
For pdfFiller’s FAQs
Below is a list of the most common customer questions. If you can’t find an answer to your question, please don’t hesitate to reach out to us.
Can I create an electronic signature for signing my members waiver release ampamp in Gmail?
It's easy to make your eSignature with pdfFiller, and then you can sign your members waiver release ampamp right from your Gmail inbox with the help of pdfFiller's add-on for Gmail. This is a very important point: You must sign up for an account so that you can save your signatures and signed documents.
How can I edit members waiver release ampamp on a smartphone?
You can do so easily with pdfFiller’s applications for iOS and Android devices, which can be found at the Apple Store and Google Play Store, respectively. Alternatively, you can get the app on our web page: https://edit-pdf-ios-android.pdffiller.com/. Install the application, log in, and start editing members waiver release ampamp right away.
How do I edit members waiver release ampamp on an iOS device?
You can. Using the pdfFiller iOS app, you can edit, distribute, and sign members waiver release ampamp. Install it in seconds at the Apple Store. The app is free, but you must register to buy a subscription or start a free trial.
What is members waiver release ampamp?
Members waiver release ampamp is a legal document that releases members from certain liabilities or claims.
Who is required to file members waiver release ampamp?
Members who are participating in a specific activity or event may be required to file a members waiver release ampamp.
How to fill out members waiver release ampamp?
Members can fill out the members waiver release ampamp by providing their personal information, signing the document, and acknowledging the risks involved.
What is the purpose of members waiver release ampamp?
The purpose of members waiver release ampamp is to protect the organization or entity from potential legal claims or liabilities.
What information must be reported on members waiver release ampamp?
The members waiver release ampamp must include the member's name, contact information, signature, date, and a statement releasing the organization from liability.
Fill out your members waiver release ampamp online with pdfFiller!
pdfFiller is an end-to-end solution for managing, creating, and editing documents and forms in the cloud. Save time and hassle by preparing your tax forms online.
Members Waiver Release Ampamp is not the form you're looking for?Search for another form here.
Relevant keywords
Related Forms
If you believe that this page should be taken down, please follow our DMCA take down process
here
.
This form may include fields for payment information. Data entered in these fields is not covered by PCI DSS compliance.