Get the free Poltica Do Governo Eletrnico: A Maturidade Do E-Gov ...
Show details
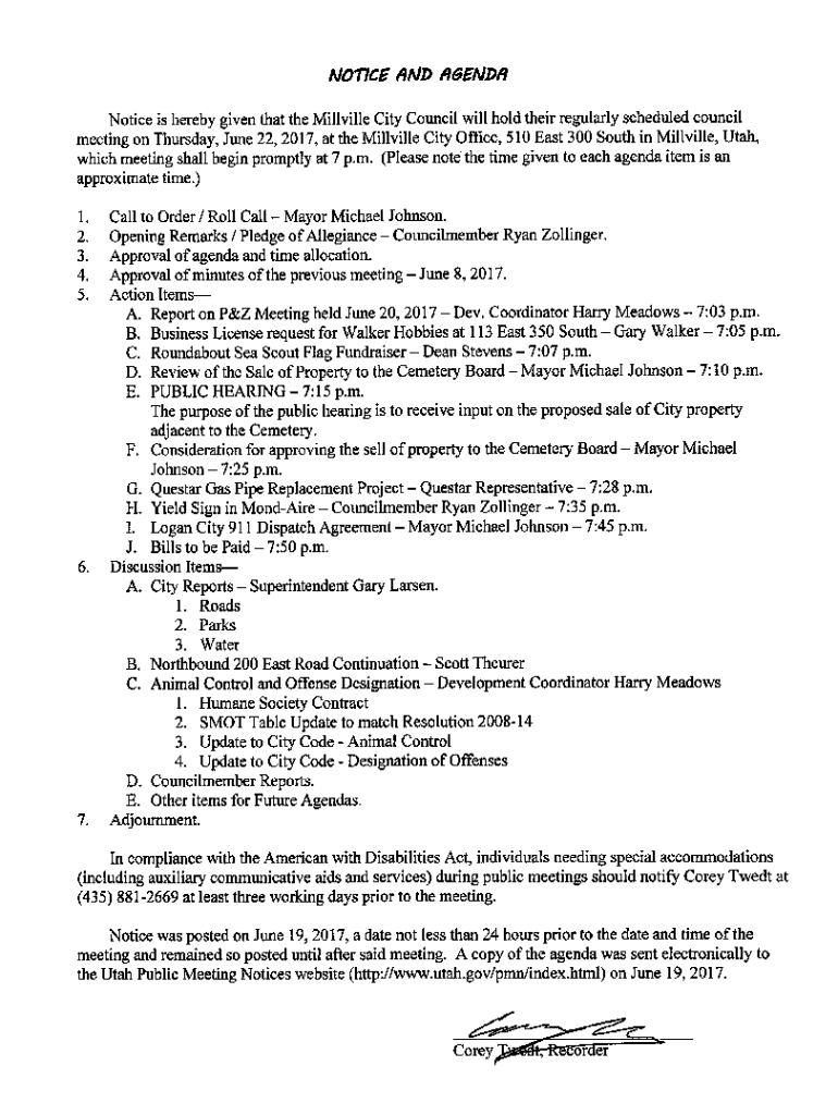
MILLVILLE CITY COUNCIL MEETING City Hall 510 East 300 South Millville, Utah June 8, 2017, PRESENT:Michael Callahan, Cindy Cummings, Julianne Muffin, Mark Williams, Tara Hobbs, Harry Meadows, Chad
We are not affiliated with any brand or entity on this form
Get, Create, Make and Sign poltica do governo eletrnico
Edit your poltica do governo eletrnico form online
Type text, complete fillable fields, insert images, highlight or blackout data for discretion, add comments, and more.
Add your legally-binding signature
Draw or type your signature, upload a signature image, or capture it with your digital camera.
Share your form instantly
Email, fax, or share your poltica do governo eletrnico form via URL. You can also download, print, or export forms to your preferred cloud storage service.
Editing poltica do governo eletrnico online
Follow the guidelines below to benefit from a competent PDF editor:
1
Check your account. If you don't have a profile yet, click Start Free Trial and sign up for one.
2
Simply add a document. Select Add New from your Dashboard and import a file into the system by uploading it from your device or importing it via the cloud, online, or internal mail. Then click Begin editing.
3
Edit poltica do governo eletrnico. Replace text, adding objects, rearranging pages, and more. Then select the Documents tab to combine, divide, lock or unlock the file.
4
Get your file. Select your file from the documents list and pick your export method. You may save it as a PDF, email it, or upload it to the cloud.
With pdfFiller, it's always easy to deal with documents.
Uncompromising security for your PDF editing and eSignature needs
Your private information is safe with pdfFiller. We employ end-to-end encryption, secure cloud storage, and advanced access control to protect your documents and maintain regulatory compliance.
How to fill out poltica do governo eletrnico
How to fill out poltica do governo eletrnico
01
Gather information about the current government policies and strategies related to electronic governance.
02
Identify areas that need improvement or update in terms of electronic government policies.
03
Collaborate with relevant stakeholders such as government officials, IT professionals, and citizens to gather input and feedback on the draft policy.
04
Develop a comprehensive policy document outlining the purpose, objectives, principles, and guidelines for electronic government.
05
Ensure the policy document is clear, concise, and aligns with national laws and regulations.
06
Seek approval from relevant authorities or government bodies for the implementation of the electronic government policy.
07
Communicate the finalized policy to all relevant stakeholders and provide training or guidance on how to adhere to the policy guidelines.
Who needs poltica do governo eletrnico?
01
Government agencies and departments responsible for implementing electronic governance initiatives.
02
IT professionals involved in designing, developing, and maintaining government websites and online services.
03
Citizens who interact with government services online and benefit from improved accessibility and efficiency.
Fill
form
: Try Risk Free
For pdfFiller’s FAQs
Below is a list of the most common customer questions. If you can’t find an answer to your question, please don’t hesitate to reach out to us.
How can I edit poltica do governo eletrnico from Google Drive?
pdfFiller and Google Docs can be used together to make your documents easier to work with and to make fillable forms right in your Google Drive. The integration will let you make, change, and sign documents, like poltica do governo eletrnico, without leaving Google Drive. Add pdfFiller's features to Google Drive, and you'll be able to do more with your paperwork on any internet-connected device.
How can I get poltica do governo eletrnico?
The premium subscription for pdfFiller provides you with access to an extensive library of fillable forms (over 25M fillable templates) that you can download, fill out, print, and sign. You won’t have any trouble finding state-specific poltica do governo eletrnico and other forms in the library. Find the template you need and customize it using advanced editing functionalities.
How do I edit poltica do governo eletrnico in Chrome?
Get and add pdfFiller Google Chrome Extension to your browser to edit, fill out and eSign your poltica do governo eletrnico, which you can open in the editor directly from a Google search page in just one click. Execute your fillable documents from any internet-connected device without leaving Chrome.
What is poltica do governo eletrnico?
Poltica do governo eletrnico refers to the electronic government policy implemented by the government.
Who is required to file poltica do governo eletrnico?
All government agencies and entities are required to file poltica do governo eletrnico.
How to fill out poltica do governo eletrnico?
The poltica do governo eletrnico can be filled out online through the designated government portal.
What is the purpose of poltica do governo eletrnico?
The purpose of poltica do governo eletrnico is to improve government services through the use of electronic means.
What information must be reported on poltica do governo eletrnico?
The poltica do governo eletrnico should include details on the usage of electronic platforms, data security measures, and plans for future digital initiatives.
Fill out your poltica do governo eletrnico online with pdfFiller!
pdfFiller is an end-to-end solution for managing, creating, and editing documents and forms in the cloud. Save time and hassle by preparing your tax forms online.
Poltica Do Governo Eletrnico is not the form you're looking for?Search for another form here.
Relevant keywords
Related Forms
If you believe that this page should be taken down, please follow our DMCA take down process
here
.
This form may include fields for payment information. Data entered in these fields is not covered by PCI DSS compliance.