Get the free CHAPTER 18 ACCESSORY STORAGE CONTAINERS
Show details
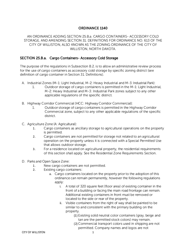
ORDINANCE 1140 AN ORDINANCE ADDING SECTION 25. B.a. CARGO CONTAINERS ACCESSORY COLD STORAGE, AND AMENDING SECTION 31. DEFINITIONS FOR ORDINANCE NO. 613 OF THE CITY OF WILLISTON, ALSO KNOWN AS THE
We are not affiliated with any brand or entity on this form
Get, Create, Make and Sign chapter 18 accessory storage
Edit your chapter 18 accessory storage form online
Type text, complete fillable fields, insert images, highlight or blackout data for discretion, add comments, and more.
Add your legally-binding signature
Draw or type your signature, upload a signature image, or capture it with your digital camera.
Share your form instantly
Email, fax, or share your chapter 18 accessory storage form via URL. You can also download, print, or export forms to your preferred cloud storage service.
Editing chapter 18 accessory storage online
Follow the guidelines below to take advantage of the professional PDF editor:
1
Create an account. Begin by choosing Start Free Trial and, if you are a new user, establish a profile.
2
Simply add a document. Select Add New from your Dashboard and import a file into the system by uploading it from your device or importing it via the cloud, online, or internal mail. Then click Begin editing.
3
Edit chapter 18 accessory storage. Rearrange and rotate pages, add new and changed texts, add new objects, and use other useful tools. When you're done, click Done. You can use the Documents tab to merge, split, lock, or unlock your files.
4
Get your file. When you find your file in the docs list, click on its name and choose how you want to save it. To get the PDF, you can save it, send an email with it, or move it to the cloud.
It's easier to work with documents with pdfFiller than you can have ever thought. You can sign up for an account to see for yourself.
Uncompromising security for your PDF editing and eSignature needs
Your private information is safe with pdfFiller. We employ end-to-end encryption, secure cloud storage, and advanced access control to protect your documents and maintain regulatory compliance.
How to fill out chapter 18 accessory storage
How to fill out chapter 18 accessory storage
01
Step 1: Start by organizing your accessories into categories, such as scarves, belts, and jewelry.
02
Step 2: Determine the best storage solution for each category, such as hooks for scarves and a jewelry organizer for jewelry.
03
Step 3: Label each storage container or compartment with the corresponding category of accessories.
04
Step 4: Place the storage containers or compartments in a designated area, such as a closet or drawer, for easy access.
05
Step 5: Regularly review and update your chapter 18 accessory storage to keep it organized and efficient.
Who needs chapter 18 accessory storage?
01
Anyone who has a collection of accessories that need to be stored and organized.
02
People with limited closet space who want to maximize their storage capacity.
03
Fashion enthusiasts or professionals who want to keep their accessories in top condition and easily accessible.
Fill
form
: Try Risk Free
For pdfFiller’s FAQs
Below is a list of the most common customer questions. If you can’t find an answer to your question, please don’t hesitate to reach out to us.
How do I make changes in chapter 18 accessory storage?
With pdfFiller, you may not only alter the content but also rearrange the pages. Upload your chapter 18 accessory storage and modify it with a few clicks. The editor lets you add photos, sticky notes, text boxes, and more to PDFs.
How do I make edits in chapter 18 accessory storage without leaving Chrome?
Install the pdfFiller Chrome Extension to modify, fill out, and eSign your chapter 18 accessory storage, which you can access right from a Google search page. Fillable documents without leaving Chrome on any internet-connected device.
How do I edit chapter 18 accessory storage straight from my smartphone?
The pdfFiller apps for iOS and Android smartphones are available in the Apple Store and Google Play Store. You may also get the program at https://edit-pdf-ios-android.pdffiller.com/. Open the web app, sign in, and start editing chapter 18 accessory storage.
What is chapter 18 accessory storage?
Chapter 18 accessory storage refers to the section in a regulation or law that outlines the rules and requirements for storing accessories related to a specific item or product.
Who is required to file chapter 18 accessory storage?
Any individual or entity that is involved in the storage of accessories as outlined in chapter 18 of the regulation or law.
How to fill out chapter 18 accessory storage?
Chapter 18 accessory storage can be filled out by providing all required information about the accessories being stored as per the guidelines provided in the regulation or law.
What is the purpose of chapter 18 accessory storage?
The purpose of chapter 18 accessory storage is to ensure that accessories related to a specific item or product are stored in a safe and organized manner, meeting all regulatory requirements.
What information must be reported on chapter 18 accessory storage?
The information required to be reported on chapter 18 accessory storage typically includes details about the accessories being stored, the storage location, and any relevant safety or regulatory information.
Fill out your chapter 18 accessory storage online with pdfFiller!
pdfFiller is an end-to-end solution for managing, creating, and editing documents and forms in the cloud. Save time and hassle by preparing your tax forms online.
Chapter 18 Accessory Storage is not the form you're looking for?Search for another form here.
Relevant keywords
Related Forms
If you believe that this page should be taken down, please follow our DMCA take down process
here
.
This form may include fields for payment information. Data entered in these fields is not covered by PCI DSS compliance.