Get the free Bridges Trainer Limit License Agreement FINAL 013119.docx
Show details
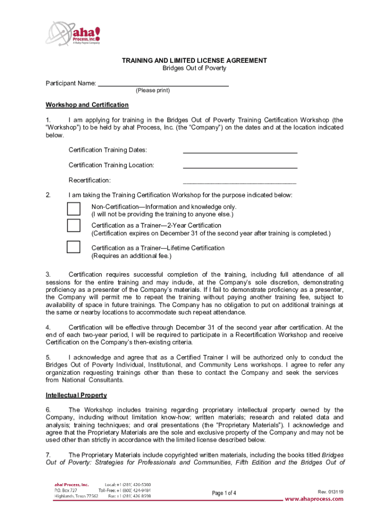
TRAINING AND LIMITED LICENSE AGREEMENT Bridges Out of Poverty Participant Name: (Please print)Workshop and Certification 1. I am applying for training in the Bridges Out of Poverty Training Certification
We are not affiliated with any brand or entity on this form
Get, Create, Make and Sign bridges trainer limit license
Edit your bridges trainer limit license form online
Type text, complete fillable fields, insert images, highlight or blackout data for discretion, add comments, and more.
Add your legally-binding signature
Draw or type your signature, upload a signature image, or capture it with your digital camera.
Share your form instantly
Email, fax, or share your bridges trainer limit license form via URL. You can also download, print, or export forms to your preferred cloud storage service.
Editing bridges trainer limit license online
Follow the steps down below to use a professional PDF editor:
1
Log in. Click Start Free Trial and create a profile if necessary.
2
Upload a file. Select Add New on your Dashboard and upload a file from your device or import it from the cloud, online, or internal mail. Then click Edit.
3
Edit bridges trainer limit license. Rearrange and rotate pages, insert new and alter existing texts, add new objects, and take advantage of other helpful tools. Click Done to apply changes and return to your Dashboard. Go to the Documents tab to access merging, splitting, locking, or unlocking functions.
4
Save your file. Choose it from the list of records. Then, shift the pointer to the right toolbar and select one of the several exporting methods: save it in multiple formats, download it as a PDF, email it, or save it to the cloud.
With pdfFiller, it's always easy to work with documents.
Uncompromising security for your PDF editing and eSignature needs
Your private information is safe with pdfFiller. We employ end-to-end encryption, secure cloud storage, and advanced access control to protect your documents and maintain regulatory compliance.
How to fill out bridges trainer limit license
How to fill out bridges trainer limit license
01
Step 1: Contact the governing authority or agency responsible for issuing bridges trainer limit licenses in your area.
02
Step 2: Obtain the necessary application form for the bridges trainer limit license.
03
Step 3: Fill out the application form with accurate and detailed information about your qualifications and experience as a trainer.
04
Step 4: Provide any required documentation or proof of training certification along with the completed application form.
05
Step 5: Submit the completed application form and supporting documents to the relevant authority for review and approval.
06
Step 6: Once approved, pay any applicable fees and receive your bridges trainer limit license.
Who needs bridges trainer limit license?
01
Individuals who wish to work as a trainer for bridge-related activities, such as bridge construction or maintenance crews, may need a bridges trainer limit license.
02
Organizations or companies involved in bridge construction or maintenance may require their trainers to hold a bridges trainer limit license to ensure safety and compliance with regulations.
Fill
form
: Try Risk Free
For pdfFiller’s FAQs
Below is a list of the most common customer questions. If you can’t find an answer to your question, please don’t hesitate to reach out to us.
How do I make edits in bridges trainer limit license without leaving Chrome?
Get and add pdfFiller Google Chrome Extension to your browser to edit, fill out and eSign your bridges trainer limit license, which you can open in the editor directly from a Google search page in just one click. Execute your fillable documents from any internet-connected device without leaving Chrome.
Can I sign the bridges trainer limit license electronically in Chrome?
You certainly can. You get not just a feature-rich PDF editor and fillable form builder with pdfFiller, but also a robust e-signature solution that you can add right to your Chrome browser. You may use our addon to produce a legally enforceable eSignature by typing, sketching, or photographing your signature with your webcam. Choose your preferred method and eSign your bridges trainer limit license in minutes.
How do I complete bridges trainer limit license on an Android device?
Use the pdfFiller mobile app to complete your bridges trainer limit license on an Android device. The application makes it possible to perform all needed document management manipulations, like adding, editing, and removing text, signing, annotating, and more. All you need is your smartphone and an internet connection.
What is bridges trainer limit license?
The bridges trainer limit license allows individuals to legally train and certify other individuals to work on bridges.
Who is required to file bridges trainer limit license?
Individuals who plan to provide training and certification for bridge work need to file for a bridges trainer limit license.
How to fill out bridges trainer limit license?
To fill out the bridges trainer limit license, individuals must provide their personal information, qualifications, training curriculum, and any relevant experience in bridge work.
What is the purpose of bridges trainer limit license?
The purpose of the bridges trainer limit license is to ensure that individuals providing training for bridge work meet certain qualifications and standards.
What information must be reported on bridges trainer limit license?
Information such as personal details, qualifications, training curriculum, and past experience related to bridge work must be reported on the bridges trainer limit license.
Fill out your bridges trainer limit license online with pdfFiller!
pdfFiller is an end-to-end solution for managing, creating, and editing documents and forms in the cloud. Save time and hassle by preparing your tax forms online.
Bridges Trainer Limit License is not the form you're looking for?Search for another form here.
Relevant keywords
Related Forms
If you believe that this page should be taken down, please follow our DMCA take down process
here
.
This form may include fields for payment information. Data entered in these fields is not covered by PCI DSS compliance.