
Get the free Hudson Clark - University of Arkansas - Dallas-Fort Worth ...
Show details
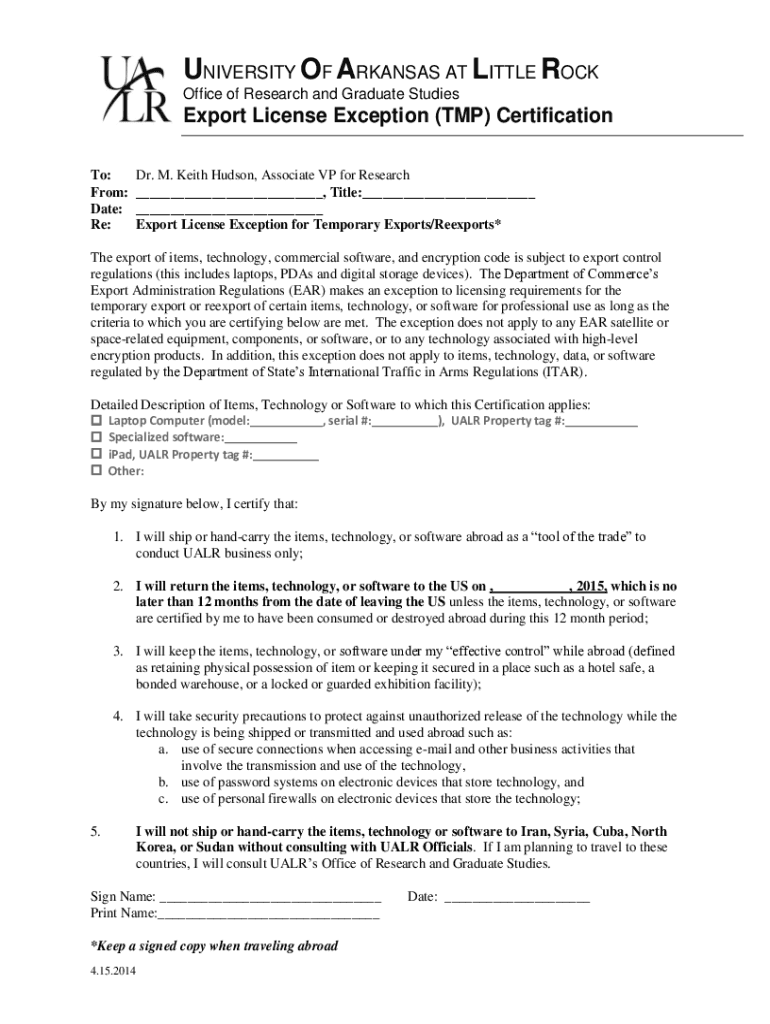
UNIVERSITY OF ARKANSAS AT LITTLE ROCK Office of Research and Graduate StudiesExport License Exception (TMP) Certification To: From: Date: Re:Dr. M. Keith Hudson, Associate VP for Research ___, Title:___
We are not affiliated with any brand or entity on this form
Get, Create, Make and Sign hudson clark - university

Edit your hudson clark - university form online
Type text, complete fillable fields, insert images, highlight or blackout data for discretion, add comments, and more.

Add your legally-binding signature
Draw or type your signature, upload a signature image, or capture it with your digital camera.

Share your form instantly
Email, fax, or share your hudson clark - university form via URL. You can also download, print, or export forms to your preferred cloud storage service.
Editing hudson clark - university online
To use our professional PDF editor, follow these steps:
1
Set up an account. If you are a new user, click Start Free Trial and establish a profile.
2
Upload a file. Select Add New on your Dashboard and upload a file from your device or import it from the cloud, online, or internal mail. Then click Edit.
3
Edit hudson clark - university. Rearrange and rotate pages, add and edit text, and use additional tools. To save changes and return to your Dashboard, click Done. The Documents tab allows you to merge, divide, lock, or unlock files.
4
Get your file. When you find your file in the docs list, click on its name and choose how you want to save it. To get the PDF, you can save it, send an email with it, or move it to the cloud.
It's easier to work with documents with pdfFiller than you could have ever thought. Sign up for a free account to view.
Uncompromising security for your PDF editing and eSignature needs
Your private information is safe with pdfFiller. We employ end-to-end encryption, secure cloud storage, and advanced access control to protect your documents and maintain regulatory compliance.
How to fill out hudson clark - university

How to fill out hudson clark - university
01
Obtain an application form for Hudson Clark - University either online or from the admissions office.
02
Fill out personal information including name, address, contact details, and any relevant identification information.
03
Provide academic history including previous schools attended, grades received, and any relevant test scores.
04
Write a personal statement outlining your reasons for wanting to attend Hudson Clark - University and your academic and career goals.
05
Submit any additional required documents such as letters of recommendation, transcripts, or portfolio pieces.
06
Review the completed application form for accuracy and completeness before submitting.
Who needs hudson clark - university?
01
Individuals looking to pursue higher education at a reputable university.
02
Students seeking a diverse and inclusive learning environment.
03
Those interested in a wide range of academic programs and extracurricular opportunities.
04
Applicants who value strong academic support and resources for student success.
Fill
form
: Try Risk Free
For pdfFiller’s FAQs
Below is a list of the most common customer questions. If you can’t find an answer to your question, please don’t hesitate to reach out to us.
How can I edit hudson clark - university from Google Drive?
You can quickly improve your document management and form preparation by integrating pdfFiller with Google Docs so that you can create, edit and sign documents directly from your Google Drive. The add-on enables you to transform your hudson clark - university into a dynamic fillable form that you can manage and eSign from any internet-connected device.
How do I make changes in hudson clark - university?
The editing procedure is simple with pdfFiller. Open your hudson clark - university in the editor, which is quite user-friendly. You may use it to blackout, redact, write, and erase text, add photos, draw arrows and lines, set sticky notes and text boxes, and much more.
How can I fill out hudson clark - university on an iOS device?
pdfFiller has an iOS app that lets you fill out documents on your phone. A subscription to the service means you can make an account or log in to one you already have. As soon as the registration process is done, upload your hudson clark - university. You can now use pdfFiller's more advanced features, like adding fillable fields and eSigning documents, as well as accessing them from any device, no matter where you are in the world.
What is hudson clark - university?
Hudson Clark University is a fictional university.
Who is required to file hudson clark - university?
All students enrolled at Hudson Clark University are required to file.
How to fill out hudson clark - university?
To fill out the form, students need to provide personal information, course details, and any relevant documentation.
What is the purpose of hudson clark - university?
The purpose is to track student enrollment and academic progress at Hudson Clark University.
What information must be reported on hudson clark - university?
Students need to report their personal details, course schedule, grades, and any changes in enrollment status.
Fill out your hudson clark - university online with pdfFiller!
pdfFiller is an end-to-end solution for managing, creating, and editing documents and forms in the cloud. Save time and hassle by preparing your tax forms online.

Hudson Clark - University is not the form you're looking for?Search for another form here.
Relevant keywords
Related Forms
If you believe that this page should be taken down, please follow our DMCA take down process
here
.
This form may include fields for payment information. Data entered in these fields is not covered by PCI DSS compliance.